organoboroncompound
硼與一些有機基團生成的金屬有機化合物。有以下幾類:
①硼氫化合物,又稱硼烷。是一類由硼和氫兩種元素組成的化合物。硼氫化合物是親電試劑,乙硼烷與含雙鍵或叄鍵的有機化合物在醚溶液中發生順式親電加成反應,生成烴基硼烷。反應按馬爾科夫尼科夫規則進行,即氫原子加在雙鍵中含氫原子較少的碳原子上,而硼原子加在含氫原子較多的碳原子上。
②有機硼烷BR3。分子中R為烷基。有機硼烷是有機硼化合物中用途很多的一類化合物。其主要反應是用各種方法使碳硼鍵斷裂而生成烴類、醇類、酮類和其他一系列的化合物,如BR3與鹼性過氧化氫反應生成醇,用酸分解生成烷烴,用鉻酸氧化生成酮。有機硼烷在160℃發生異構化,使硼原子從碳鏈的中間轉移到碳鏈的末端,從而生成一系列的衍生物。
③有機硼酸鹽
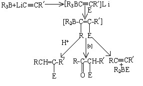
。式中L為配位體,M為金屬。利用四配位體硼化合物與一親電基團反應,烷基從硼原子位移到碳原子上,生成中間體乙烯硼烷。它能質子化生成烯烴,也能氧化成羰基化合物,也能自動消除生成炔烴:E為親電基團。
④烴基硼酸。是有機硼氧化合物。通常用鹵化硼或硼酸酯的格氏反應(見格氏試劑)製備(Ar為芳基;X為鹵素):

⑤有機硼雜環化合物。是一類在環上含有一個或多個硼原子的雜環化合物,環中還可同時包括氧、硫、氮、磷、矽等雜原子,例如:
|
圖片 |
⑥碳硼烷。具有以硼和碳原子組成的籠形化學結構。例如1,2-二碳代十二硼烷C2B10H12是由10個硼原子和兩個鄰碳原子組成的正二十面體籠形硼化合物。這種碳硼烷的熔點為294.5~295.5℃,性能穩定,不易氧化和水解。
有機硼化合物除在有機合成方面有廣泛的套用外,還可用作聚合反應的引發劑、煤油抗氧劑、殺菌劑、抗癌藥和用於中子俘獲、治療腦腫瘤。

