人物簡歷
1929年9月 考入北京大學理預科。
1931年9月 升入北京大學化學系。
1935年9月—1941年 北京大學化學系助教、講師。
1941—1943年 在美國馬里蘭大學藥學院留學,獲碩士學位。
1944年5月 獲美國伊利諾大學化學系哲學博士學位。
1944—1947年 美國禮來公司研究所研究員。
1947—1950年 北平研究院化學研究所研究員。
1950—1956年 任北京大學化學系、北京醫學院藥學系教授。
1950—1952年 《化學》雜誌副主編。
1952—1956年 兼任中國科學院有機化學研究所研究員。
1956年— 任中國科學院化學研究所研究室主任、研究員。
1956—1963年 《化學學報》副主編。
1978—1986年 當選為中國化學會第二十屆理事會常務理事、第二十一屆理事會理事。
1980年— 被選為中國科學院學部委員(院士)。
生平概況
出生
蔣明謙,1910年11月10日生於四川省蓬溪縣三風鎮五家灣村。少年時喜歡文學,中學畢業後受“科學救國”的影響,1931年考入北京大學化學系。課餘時間他除了查參考書、寫筆記外,就是讀詩、寫詩,但更愛自然科學讀物。為了多買一本書,寧願少吃一頓飯。他把寒暑假日作為寫文章、讀書的好時機,寫過不少通俗性文章,。對科學研究有極大興趣,大學後期就在曾昭掄指導下研究有機合成、有機元素分析,並探索元素周期性如何用定量形式表征,與合作者在國內外化學和物理雜誌先後發表了“元素周期性”、“元素原子量交遞現象”等論文。1935年於北京大學畢業後留校任教。
經歷
1937年“七七”事變後,北京大學、清華大學、南開大學等校南遷,在昆明成立西南聯合大學。蔣明謙對國土淪喪非常悲憤,與友人游安寧筆架山,曾在山上搬石壘成“還我河山”四字,並寫詩一首,最後兩句是“樂游未減河山恨,壘字山頭矢不忘”。他將悲憤化為力量,一面指導學生做實驗,一面繼續做有機合成和有機分析的研究。蔣明謙對工作一貫一絲不苟,寫作、論述條理嚴謹,試驗井井有條,非常愛惜儀器,注意節約試劑。他的嚴謹的工作作風,不僅受到教授們的讚許,也為學生樹立了很好的榜樣。
1940年,蔣明謙考取清華大學公費留學美國,
1941年底到美國馬里蘭大學藥學院隨年輕有為的藥物化學家哈同學習藥物化學。哈同認為學習藥物化學應該以藥物的結構與藥理作用關係為中心,這對蔣頗有啟發。他回國後在北京大學醫學院藥學系就是以這種思想為基礎教授藥物化學的。
1943年,蔣明謙獲碩士學位後又到伊利諾大學化學系攻讀博士學位,在亞當斯指導下學習有機化學。當時亞當斯被譽為美國化學界的泰斗,他主張把化學作為一個整體來看待。在此一思想啟示下,蔣明謙讀了亞當斯《有機合成》及《有機反應》兩本書,體會到有機化學既要重視基團的共性,又要重視基團的特殊性;既強調共同的規律性,又要考慮例外;應將各種不同的分子和基團聯繫起來看待,有機分子之間是互有聯繫的整體,而不是一個個孤立的個體。這就需要設法來表達化合物的共性,也需要有一定的手段來區別化合物的特性。在這種思想指導下,蔣明謙認為需要有一種定量的方法來表達分子或基團的相對活性。當時他想利用頗為流行的原子電負性作為計量的指數,提出用原子電負性來表達基團電負性的構想,導致後來產生《誘導效應指數》 。
1944年他取得博士學位,被選為美國化學榮譽學會會員,並授予美國自然科學會員稱號。並應禮來公司藥物研究所的邀請任研究員,從事藥物合成方法的研究。
1947年4月,蔣明謙回國,任北平研究院化學研究所研究員。
1948年被選為美國科學促進協會會員。
中華人民共和國建立後,原化學所遷併到上海有機化學研究所,蔣明謙被聘為北京大學化學系、北京醫學院藥學系教授,講授《理論有機化學》及《高等藥物化學》 。他一面教課,一面進行研究工作,把全部時間和精力都傾注在培育人才和發展科學事業上。
1950—1956年,他在北京大學化學系培育了五個班級學生及兩批研究生,在北京醫學院藥學系培育了十個班級學生。他教藥物化學的方法,是在總結大量文獻的基礎上,創造性地把藥物的分子結構同藥理作用結合起來,從有機結構理論的高度闡明設計和選擇藥物的原理。這在當時的藥物化學教學中是獨具風格的。他不僅為新中國培養了一批藥物化學工作者,而且完成了64萬字的巨著《高等藥物化學》(1958年科學出版社),在藥學界有相當大的影響,至今仍為藥學院校學生及有關生產單位工作者必讀的參考書。他除教學生專業知識外,同時講思想方法,並使他們懂得該學科的發展趨勢。在科學研究方面,他做了一系列氨基化合物的鏇光性的酸性效應與化學結構的關係,發現了溶劑極性與鏇光度的定量關係。他還指導中青年教師對喹唑啉系列雜環化合物的合成和反應進行了比較系統的研究。與此同時還接受了中國科學院上海有機化學研究所莊長恭所長的委託,在北京大學醫學院成立了有機化學小組,研究金黴素及其衍生物的合成。他對中青年研究人員的培育方法是採取專業小組討論會的形式,定期匯報學術思想,交流分析與解決問題的方法,互通信息,議論專業的發展方向。做到“學術交心”。他對工作、學習一貫要求嚴格、認真。當時的中青年,現在都已擔任所、室領導,但他們仍堅持當年的學風。
蔣明謙在教學和指導科研之外,還經常到各地講學或作工作報告。
1953—1982年,他先後到過西北大學、南開大學等10多所高等院校和大連化學物理研究所、上海有機化學研究所等講學,使教師和科研工作者了解學科發展方向,倡導理論和套用研究密切結合,以促進科學研究工作的發展。
蔣明謙於1952年參加民主同盟,歷任該盟北京市委委員。
1964年,他還被選為全國人民代表大會第三屆代表。
蔣明謙在教學或科研工作中,一直以結構性能定量關係為主要方向。
教學科研
“結構性能定量關係”的啟蒙
蔣明謙早在大學生時期就考查到元素周期性的變化是可以用一定公式計算的。1937年,他與薛琴訪發表的元素周期性的論文,首次把元素周期性作了定量表征:論文中提出了元素各種周期性的科學分類和周期性方程:
蔣明謙把周期性的數值P表征為原子序數Z,價態V,主量子數n的函式,式中α、β、γ為常數。1953年,美國著名無 機化學家穆勒在他所著的《高等無機化學》一書中詳細引述了他們的研究結果和周期性方程,並讚揚他們的論文“很有洞察力”。穆勒寫道:“藉助於這個公式並考慮上述周期性的類型,就可以計算周期性的變化,結果與實測的變化相當吻合。用這種計算值對原子序數作圖,與實測值的作圖的確非常接近”。蔣明謙這些早期論著不僅反映了他的創造性和嚴謹性,而且也形成了他日後在有機結構理論中所表現出來的獨特的科學風格。
蔣明謙自從認識到有機化學從定性向定量過渡的發展趨勢後,他在有機化學方面的研究工作,總是以結構性能定量關係為主導思想,尋求有機化合物的結構與性能之間的定量關係就成為他畢生的追求。這個鍥而不捨的奮鬥目標,成為貫穿他科學事業的一條主線。
化學活性的定量尺度——“誘導效應指數”
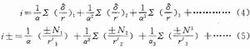
1962年蔣明謙和戴萃辰提出誘導效應指數的新概念和計算任何一個非共軛化合物性能的方法:任何一個基團的誘導效應指數(I),都可以表征為原子B本身對A—B鍵的影響(i0),B上所帶基團或原子對A—B鍵的累積影響(i),以及B上所帶原子或基團的電荷(i士)之和:
I=i0十i十i±(2)
i0=δ/r(3)
蔣明謙式中δ/r為極性強度,δ為兩個成鍵原子電負性之差與電負性之和的比值,為鍵長,1/α(=0.3)為誘導效應傳遞中的遞降率,±N為原子或基團所帶的電荷,′為荷電原子的共價半徑。從這幾個基本參數出發可以計算任何類型的非共軛化合物的分子結構與化學活性間明確而簡單的定量關係:誘導效應指數(I)與化學活性(P),包括反應能量,反應速度常數的對數以及反應平衡常數的對數成直線關係;反應生成物產率(%)與誘導效應指數(I)成S形曲線關係。這種方法的特點是用原子電負性表達基團電負性,是根據分子結構最根本的原子特性來計算基團常數。雖然布朗斯台德、哈梅特以及塔夫脫等化學家在三十年代已經提出了某些基團常數,但都是由實驗個別指定的。
誘導效應指數的研究論文和專著發表之後,引起國內外廣泛重視。1963年美國柯亨等主編的《物理有機化學的進展》第二卷中詳細引證了這項成果,並指出“蔣戴文中列舉的大量物化性質的數據以及誘導效應指數I與Taftox之間有很好的關聯,都表明這篇論文值得重視……”1984年美籍華裔學者凌寧博士在他著的《生命的科學基礎》一書中詳細介紹了這個理論,並給予很高的評價。他寫道:“蔣和戴以最基本的方式對誘導效應進行了探討。他們不僅提出了一整套新的,叫作誘導效應指數的常數,而且提供了計算任何基團的誘導效應指數的方法和公式,所依據的則是原子的電負性和共價鍵的鍵長等一些已知的參數。”“蔣和戴關於誘導效應的研究,最引人注目的方面是它用於反應速度和平衡的預測的普適性。”1964—1987年國內外陸續發表的引用誘導效應指數的論文已有30餘篇,廣泛用於萃取劑、殺蟲劑、殺草劑、緩蝕劑以及抗癌藥物的研究中,對選擇有效化合物以及預測反應速度和百分產率,起到了理論指導作用。
“同系因子”與“線性規律”
誘導效應指數可以說是成功的解決了非共軛體系結構性能間的定量關係,共軛體系究竟能不能也用一個什麼樣的參數來解決?蔣明謙經過反覆思考和試探,“認為對於共軛體系來說,最主要的結構因素是體現分子整體性的結構因子,而不是體現基團或組分原子特性或相對獨立性的基團參數。”因此,尋求代表分子整體性的結構因素就成為研究的方向。經過艱苦的探索,他於1964年找到了一個體現同系物遞變的基本結構因素—“同系因子”。1973年周總理“要重視理論研究”的指示以及院所領導的鼓勵,更加強了蔣明謙的決心。當時雖然沒有實驗室,沒有助手,更沒有計算機,他便用雙手一個一個的計算了上萬個化合物,歸納出30多種結構和20多種性能,考查了同系因子的適用性,都得到了意想不到的良好直線,“同系線性規律”終於被他發現了。到1976年,他完成了奠定同系線性規律的10篇論文,1980年出版了53萬字的專著《有機化合物的同系線性規律》 (英文版於1987年出版)。
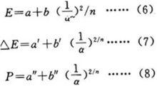
同系線性規律表明:同系物中各分子軌道能量(E)、各能級差量(△E)以及依存於它們的各種物理化學性能(P),都是同系因子(1/α)(2/n)的線性函式:
蔣明謙式中α為能級序數,為同系序數,它們都是簡單正整數。
同系線性規律適用範圍非常廣泛,包括38種結構類型的化合物和20多種物理化學性能,結構性能關聯情況亦良好。例如在69個同系列的159組吸收峰數據中相關係數屬於優(86%)和良(13%)的占總數99%以上。表明規律是相當精確的,並且是不可移易的。例如化合物吸收峰的波數與同系因子是嚴格對應的。同系序數稍有改變,線性關係就不能保持。這就表明同系線性關係所反映的結構性能關係確是一種真正的內在規律。同系線性規律也概括了性能之間的關係。凡符合此規律的各種性能,只要是同一的同系因子,它們之間也都應有線性關係。
對於含有取代基的同系物系列,取代基對於性能的影響,以由誘導效應指數和共軛效應組成的代基當量(S)來表示,基幹化合物的同系序數加上代基當量就可以得到擴大的同系方程:
套用擴大的同系方程計算了2000種以上的各類型化合物的光譜吸收峰,誤差在士5nm以內的占83%,在±10nm以內的占94%。
同系線性規律闡明了化合物中分子的整體性與基團相對獨立性之間的對立統一關係。可以判斷分子中基幹結構與取代基的不同效應,指導理論有機的研究。可套用於分子設計,對有機合成有指導意義。
有機物分子結構和性能間的定量關係,自30年代以來,就有許多人從事廣泛研究,但一直沒找到一種準確普遍的規律。在1976年朗伯等著的一本《有機結構分析》書中曾畫了一對同系物能級的線性遞變關係的示意圖,表明近年來還有人在找同系直線。
《同系線性規律》發表後,立即引起國內外化學家廣泛關注,認為是在物質結構與性能關係研究上的新突破。物理化學家徐光憲著文論證了同系線性規律的量化基礎;有機化學家高振衡在聯多苯的結構與性能關係中論證了同系線性規律,並發現某些化合物的激發能也服從同系線性規律;高振衡教授編的《物理有機化學》 、俞凌翀教授編的《基礎理論有機化學》以及張自義教授等編的《物理有機化學概要》都詳細引述了蔣明謙關於分子結構和性能間定量關係中提出的誘導效應指數和同系線性規律。 國外先後有19個國家的幾十位科學家來函索取論文單行本,法國巴黎第六大學教授國際量子化學會會長普爾曼邀請蔣明謙出國參加學術交流,瑞典隆德大學薩納教授發表的一篇文章,“認為用指數函式表達同系物的遞變是合理的”。國內引用發表的論文,除理論研究工作外,已套用到“氣液色譜固定液”的研究。
誘導效應指數和同系線性規律於1978年獲全國科學大會獎,於1982年獲全國自然科學二等獎。
共軛效應
1976年蔣明謙這項結構性能定量關係的研究被中國科學院定為重點研究課題。化學所為他成立了研究室,招收了研究生。當年他已年近古稀,但還是滿懷壯志。在他的一首詩中有這樣兩句:“七十而今並不稀,……腦清如水思潮湧,老馬臨風欲奮飛。”他一面培養研究生,一面抓科研。在同系線性規律的基礎上,對複雜共軛體系中各種共軛基團相互間的結合效應進行研究,找出共軛效應的結合規律。通過實驗,不僅驗證了同系線性規律的普遍性、精確性和專一性,且確切表明了它是度量分子基幹上的同系遞變效應,以及支鏈、取代基效應的一個可靠的尺度。用這尺度定量地證明了各共軛基團之間的共軛效應,不僅要受到分子中各基團結合方式的限制,依賴於一定的分子結構條件,而且是有一定的結合規律的。他還發現了幾種特殊的結構效應,即反向端基、端外基團、分岔基團、側聯基團和折並基團等結合效應,實驗表明:當共軛基團以上述幾種方式結合時,都不能傳遞分子基幹上的共軛極化作用。由於這些特殊基團效應的發現,不但可以準確地判別複合分子中的基幹與支鏈、端基與分岔,而且可以定量地計算出各類基團對性能的影響。這樣就為判斷基團結構效應、選擇基團、設計具有一定性能的分子結構提供一種理論依據;為研究複雜共軛化合物結構性能關係提出一種新途徑。近十年內發表研究論文二十餘篇,1987年出版了專著《共軛基團結合效應》 ,1990年獲中國科學院自然科學二等獎。
為了闡明上述規律的由來,蔣明謙提出了“共軛環節”的概念,認為複雜共軛體系是由若干環節組成,每個環節包括一個貫通的共軛極化體系,環節之間是以一個不能通過共軛極化效應的原子或基團連結起來的。他提出的這個新概念已初步經過他的博士研究生的三篇論文予以驗證,得到了肯定的結果。
蔣明謙先後發表研究論文70餘篇,專著4種,這些著作至今仍為國內外廣泛引用,並獲較高評價。
蔣明謙在學術上取得這些令人矚目的成就決不是偶然的,早在學生時代就養成了獨立思考的習慣,培養了善於分析問題的能力及刻苦、嚴謹的工作作風。他非常重視理論有機的歷史發展,以及當代化學的發展趨勢,他較早地認識到整個化學將向定量化發展,因此,尋求有機化合物的結構性能定量關係就成了他奮鬥的目標。他以驚人的毅力、頑強的拼搏取得了創造性的成果,光明日報以“撲不滅的燈火”報導了他的事跡(1978年3月18日)。他不僅是一位勇於奪魁的選手,也是一位善於育人的教練。光明日報曾以《是選手又是教練》報導了他教導學生和培養中青年教師以及科學工作者的事跡(1963年5月8日)。蔣明謙常說:“要學戲不僅要在前台看演戲,而且要到後台看排戲,還要親自參加演出”。因此,他經常向他的學生坦誠地講述他走過的彎路和失誤,講述他的新觀念孕育和形成的過程,使他們受到教益。他執教多年,桃李滿園,如今不少已是各自領域中的專家和學術帶頭人,這是他在培養人才方面的貢獻。蔣明謙將畢生精力奉獻給祖國的科學事業。
主要論著
1 蔣明謙.高等藥物化學.北京:科學出版社,1958.
2 蔣明謙,戴萃辰.誘導效應指數.北京:科學出版社,1963.
3 蔣明謙.分子結構與化學活性間的定量關係V.反應百分率與S曲線的方程式.分子科學與化學研究,1982(2),1—14.
4 蔣明謙.分子結構與物理化學性能間的定量關係——同系線性規律.化學通報,1977(4),20—27.
5 蔣明謙.Ⅲ.聯苯鏈物與駢苯鏈物電子光譜中的同系線性規律.化學學報,1978,36(2):89—106.
6 蔣明謙.Ⅳ.共軛多炔鏈物電子光譜中的同系線性規律.化學學報,1980,38(1):18—40.
7 蔣明謙.有機化合物的同系線性規律.北京:科學出版社,1980.英文版,1987.
8 蔣明謙,戴萃辰.烯炔鏈物反向端基效應.吉林大學自然科學學報,1980,(3):93—106.
9 蔣明謙,戴萃辰.三岔共軛體系中的結構效應.蘭州大學學報,1980(4):16—132.
10 蔣明謙,胡惟孝.苯多烯酮酯共軛體系結構性能定量關係的研究.化學學報,1983,41(1):26—40.
11 蔣明謙,虞忠衡.呋喃多烯酸酯類三岔共軛體系結構性能定量關係.結構化學,1983,2(2):121—134.
12 蔣明謙,褚文華.電子等排體的噻吩多烯與苯多烯同系遞變的比較.化學學報,1987,45,829—835.
13 蔣明謙.共軛基團結合效應.北京:科學出版社,1987.
14 蔣明謙,褚文華,戴萃辰.羰橋雙共軛體系結構效應的研究I.羰橋兩邊支鏈的共軛競爭.化學學報,1990,48,1000—1005.
15 蔣明謙,李桂英,戴萃辰.羰氨雙橋共軛體系結構效應的研究.中國科學B輯,1991(5),449—457.


