時點價格指數
正文
反映不同時點上的商品價格變動趨勢和程度的相對數指標。是輔助性的價格指數。在物價變動劇烈的情況下,按一個長時期內平均價格計算的物價指數往往與人們的感受不同,因此需要編制以上年年末(12月31日)或上年12月平均價格為基礎“時點”的月度對比物價指數。

以上年末(12月31日)為基礎的時點價格指數,嚴格地講,不符合概念上時點價格動態的要求指標。因為其分母為上年末12月31日的平均價格,而分子為報告月的平均價格,兩個時期口徑不一致。
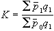
時點價格類指數或總指數的計算公式為:


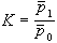
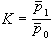
為報告月按上年末12月31日的平均價格計算的總金額。 在實際計算中,可把時點價格指數改為報告期各月份的平均價格與上年12月份的平均價格對比的價格指數,即:


