簡介
方向角用以確定向量的方向的量。向量(或有向直線)與坐標軸正向或基向量的交角稱為向量的方向角。向量的方向角的餘弦稱為向量的方向餘弦。一個向量的方向可以用它的方向角或方向餘弦來確定。
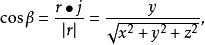
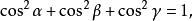
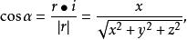
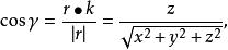
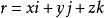
方向角設向量 的方向角為α,β,γ,則:
方向角
方向角
方向角且
方向角
方向角具體例子
方向角一般是指以觀測者的位置為中心,將正北或正南方向作為起始方向旋轉到目標的方向線所成的角(一般指銳角),通常表達成北(南)偏東(西)××度,若正好為45度,則表示為正西(東)南(北)。
方向角乃一平面角,系一直線與南北方向線(參見方位角條)間所夾之角,仍系用來標出兩點方位之一法。與方位角不同者,方向角系分由南北起算,角度值在零度及九十度之間。方向角之表出方式乃是在角度值之前冠以南北字樣,其後則書出東西字樣。
方向角與方位角一樣,亦根據其北南線是真北南、磁北南、假定北南而有真方向角、磁方向角、假定方向角之名稱。同一條直線,由於起點終點不同,所表出直線之方向亦相反。

