定義
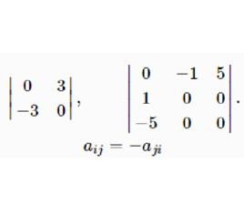
斜對稱行列式(skew-symmetric determinant)是類似於斜對稱矩陣的一種特殊行列式。一個行列式,如果其主對角線上的元素全為零,而關於主對角線對稱位置上的元素絕對值相等符號相反,則稱為斜對稱行列式。方陣
斜對稱行列式
斜對稱行列式
斜對稱行列式或其行列式,當 時(因此 ),叫做斜對稱方陣或斜對稱行列式。例如
斜對稱行列式相關定理
斜對稱行列式定理1 方陣A為斜對稱的必要及充分條件為 。
斜對稱行列式
斜對稱行列式定理2 為斜對稱是在且僅在 為斜對稱時。
定理3 奇數次斜對稱方陣(或其行列式)的附屬方陣(或其行列式)為對稱的的,但偶數次斜對稱方陣(或其行列式)的附屬方陣(或其行列式)仍為斜對稱的。
斜對稱行列式
斜對稱行列式定理4 滿秩斜對稱方陣 的逆方陣 亦為斜對稱的。
定理5 偶數次斜對稱行列式中主對角線上的元素的余因式均等於0。
定理6 奇數次斜對稱行列式恆等於零(或奇數次斜對稱方陣為降秩的)。
定理7 偶數次斜對稱行列式為其元素的某多項式的完全平方。
斜對稱行列式
斜對稱行列式定理8 若 為n次降秩斜對稱方陣,則 。
斜對稱行列式
斜對稱行列式定理9若 為奇數次斜對稱方陣時,則 。
斜對稱行列式
斜對稱行列式定理10若 為偶數次斜對稱方陣時,則任何余因式 等於零。偶數次降秩斜對稱方陣的附屬附屬方陣為零方陣 。

