振幅調製(AM)調製信號m(t)疊加直流後再與載波相乘,則輸出的信號就是常規雙邊帶調幅(AM)信號。 AM調製器模型如下圖所示。
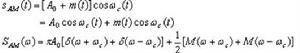
振幅調製AM信號的時域和頻域表示式分別為:
振幅調製式中,為外加的直流分量;m(t)可以是確知信號也可以是隨機信號,但通常認為其平均值為0,即。
AM信號的典型波形和頻譜分別如下圖:
振幅調製可見,AM信號波形的包絡與輸入基帶信號m(t)成正比,故用包絡檢波的方法很容易恢復原始調製信號。 但為了保證包絡檢波時不發生失真,必須滿足 ,否則將出現過調幅現象而帶來失真。
AM信號的頻譜是由載頻分量和上、下兩個邊帶組成(通常稱頻譜中畫斜線的部分為上邊帶,不畫斜線的部分為下邊帶)。上邊帶的頻譜與原調製信號的頻譜結構相同,下邊帶是上邊帶的鏡像。顯然,無論是上邊帶還是下邊帶,都含有原調製信號的完整信息。故AM信號是帶有載波的雙邊帶信號,它的頻寬為基帶信號頻寬的兩倍。
採用AM調製傳輸信息的好處是解調電路簡單,可採用包絡檢波法。缺點是調製效率低,載波分量不攜帶信息,但卻占據了大部分功率,白白浪費掉。
來自
"http://baike.eccn.com/eewiki/index.php/%E6%8C%AF%E5%B9%85%E8%AA%BF%E8%A3%BD%28AM%29"

