定義
指示函式在數學中, 指示函式是定義在某集合 X上的函式,表示其中有哪些元素屬於某一子集 ,常套用在集合論中。指示函式有時候也稱為特徵函式。現在已經少用這一稱呼。機率論有另一意思迥異的特徵函式。
指示函式
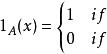
指示函式集 X的子集 的指示函式是函式 ,定義為
指示函式
指示函式.
指示函式
指示函式
指示函式的指示函式也記作 或
簡單性質
指示函式
指示函式
指示函式把 的子集 對應到它的 指示函式的映射是雙射,值域是所有函式 的集合。
指示函式
指示函式
指示函式如果 和 是 的兩個子集,那么
指示函式以及
指示函式
指示函式
指示函式
指示函式更一般地,設 是 的子集。對任意 ,可知
指示函式
指示函式若且唯若 x不屬於任何。
故有
指示函式展開左式
指示函式
指示函式
指示函式其中是的勢。這是容斥原理的一個形式。
指示函式
指示函式
指示函式
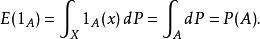
指示函式如上一例子所示,指示函式是組合數學一個有用記法。這記法也用在其他地方,例如在機率論:若是機率空間,有機率測度 P,是可測集,那么就是隨機變數,其期望值等於的機率 ,
指示函式這等式用於馬爾可夫不等式的一個簡單證明里。
