簡介
在數學中,拋物柱面函式是作為微分方程解的一類特殊函式。
拋物柱面函式當在拋物柱面坐標中表示時,在拉普拉斯方程上使用變數分離技術時,發現了該方程。
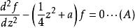
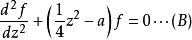
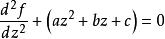
通過完成稱為H. F.韋伯方程(Weber 1869)的平方和重新縮放z,可以將上述方程式分成兩種不同的形式(A)和(B)):
拋物柱面函式
拋物柱面函式如果f(a,z)是解,那么f(a,-z)、f(-a,iz)、f(-a,-iz)也都是解。
如果f(a,z)是方程(A)的解,那么f(-ia,ze )是方程(B)的解,並且類似的,f(-ia,-ze )、f(ia,-ze )、f(ia,ze )也是方程(B)的解。
求解
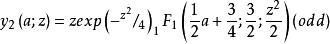
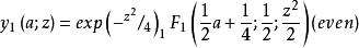
有(A)形式的獨立偶數和奇數解。 這些是由(阿布拉莫維茨和史蒂文(1965年))給出的 :
拋物柱面函式和
拋物柱面函式
拋物柱面函式其中是超幾何函式。
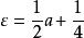
可以由上述解的線性組合形成其他成對的獨立解。 這樣的組合是基於他們在無窮遠的函式:
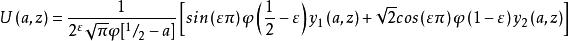
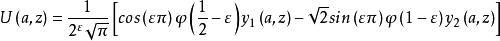
拋物柱面函式
拋物柱面函式
拋物柱面函式這裡,。
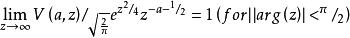
當| arg(z)|<π/ 2時,函式U(a,z)接近零,而V(a,z)發散。
拋物柱面函式
拋物柱面函式對於a的整數值,這些(即U和V)可以用Hermite多項式來重新表示;或者,它們也可以用貝塞爾函式來表示。
函式U和V也與拋物柱面函式Dp(x)(可追溯到Whittaker(1902)的符號)有關:
拋物柱面函式
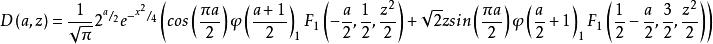
拋物柱面函式函式D(a,z)由惠特克和沃森引入,可以用超幾何函式來表示
拋物柱面函式