定義
流體是無粘性的、正壓的(見正壓流體)且外力有勢時,均勻來流繞物體的流動和從靜止起動的流體流動必定是無旋的,考慮無粘性不可壓縮流體的無旋運動。首先因▽×v=0,所以存在速度勢Φ,使得v=▽Φ,代入連續性方程得▽·(▽Φ)=△Φ=0,即速度勢滿足經典的拉普拉斯方程,此即為拉普拉斯無旋流動。
簡介
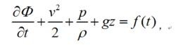
流場中各點▽×v=0的不可壓縮流體運動,其中v為速度矢量。除極個別的特例外,粘性流體一般都作有旋運動。無粘性流體運動可以是有旋,也可以是無旋的。當流體是無粘性的、正壓的(見正壓流體)且外力有勢時,均勻來流繞物體的流動和從靜止起動的流體流動必定是無旋的(見開爾文定理)。這兩類流動在工程中具有重大實際意義。對於不可壓縮流體的無旋運動,流體力學基本方程組可以大為簡化。拉格朗日積分(見伯努利定理)成立
拉普拉斯無旋運動式中 v為速度; p為壓力; ρ為流體密度; z為垂直高度; g為重力加速度; f( t)為待定的任意函式。於是問題化為:先解拉普拉斯方程,求出Φ,然然後按v=▽Φ求出速度v,代入拉格朗日積分即可求出壓力p。處理無粘性不可壓縮流體的無旋運動,數學上的簡化主要體現在以下幾點:①有旋運動時的非線性運動方程現在可以積分出來變成非線性的有限關係式——拉格朗日積分,而確定速度矢量v的連續性方程在加上無旋條件後變成了確定調和函式Φ的線性拉普拉斯方程,對於拉普拉斯方程的性質和解已弳研究得很清楚了;②有旋運動中v和p相互影響,必須一起解出,現在運動學函式Φ(也即v)和動力學函式p已可分開求解;③方程和未知函式的個數由四個降至兩個。
無粘性不可壓縮流體的無旋運動具有下列性質:①速度的大小不能在流體內部達到極大值,②壓力不能在流體內部達到極小值;③在邊界上,若無旋運動和有旋運動具有相同的法向速度分量,則單聯通區域內無旋運動的動能小於有旋運動的動能(見開爾文最小能量定理)。
對於不可壓縮流體的平面運動還存在著流函式Ѱ,它也滿足拉普拉斯方程。勢函式Φ和流函式Ѱ之間由柯西-黎曼條件聯繫起來,因而以Φ為實部,Ѱ為虛部組成的複變函數w(z)是解析函式,稱為復位勢。於是,平面無旋運動的數學提法可敘述為:求流動區域內的解析函式w(z),它在區域內及邊界上連續且滿足物面及無窮遠處的邊界條件。
求解方法
對於不可壓縮流體的無旋運動,求解速度勢Φ或復位勢w(z)有以下幾種方法:
奇點分布法:
根據速度勢或復位勢的疊加原理將均勻流、源流、點渦及偶極子流等基本流子按一定原則疊加起來,以解決各種繞流問題。這種方法物理概念清晰,比較直觀,能夠有效地解決不少問題。
鏡象法:
此法適用於邊界為無界平面、圓柱面或球面的情況。若已知平面、圓柱面或球面等邊界不存在時流動問題的解,則利用映射定理、圓周定理和球定理可以容易地寫出上述這些邊界放入流動流體後新問題的速度勢或復位勢。
保角映射法:
復變解析函式理論為解決平面無旋流動問題提供了一個強有力的工具。黎曼定理指出在一定條件下將區域邊界映射到圓上去的單值解析函式是存在且唯一的。如果具體地找到了這樣的函式,則根據已知的圓柱繞流問題的解可以寫出繞各種相應複雜邊界流動問題的解。於是,問題便歸結為如何具體地找出適當的映射函式。對於邊界比較簡單的流動可以容易地找出映射函式,對於複雜的邊界,已經提出幾種數值求解方法。
數值計算方法:
包括有限差分方法和有限元法等。它們的優點在於適應面廣,可以解決包括複雜邊界問題在內的各種繞流問題。
參考文獻
1.詞條作者:吳望一,張炳軒《中國大百科全書》74卷(第二版)物理學詞條:流體力學:中國大百科全書出版社,2009-07:258頁
