定義
復變數
復變數
復變數
復變數
復變數
復變數
復變數
復變數
復變數
復變數
復變數
復變數
復變數
復變數
復變數
復變數
復變數
復變數設 與 為兩任意實數,以 表示 ,則式子 叫做 複數。如以兩個 實變數 與 分別代替 與 ,則所得式子 就叫做 復變數,並記作s(即令 )。若 ,則 ,此時復變數變為實變數,所以實變數是復變數的特殊情形。 叫做復變數s的 實 部,記作 , 叫做復變數s的 虛部,記作 ,即 。
表示方法
復變數復變數(以下簡稱複數) 有以下幾種表示法:
坐標(點)表示法
復變數
復變數
復變數
復變數
復變數
復變數
復變數
復變數
復變數
復變數由於任一複數 與一對 實變數 成一一對應關係,所以可以用直角坐標( )表示之。反之,在平面上建立直角坐標系後,每一個點都可以表示為複數。因此,在複數域中 平面又叫做 複平面或 s平面。 軸叫做 實軸, 軸叫做 虛軸。例如圖1所示為 s平面,平面上任一點 可由坐標 和 來確定。或者記作 。
圖1 坐標表示法
圖2 向量表示法向量表示法
復變數複數s還可用從原點指向點( )的向量來表示,如圖2所示。向量的長度OP稱為s的模或絕對值,記作
復變數
復變數
復變數
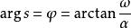
復變數向量 與實軸的夾角 稱為s的輻角,記作 。
復變數
復變數關於輻角 要注意下列關係:
復變數
復變數時,在第一象限; 時,在第二象限;
復變數
復變數時,在第三象限; 時,在第四象限。
三角表示法和指數表示法
利用直角坐標與極坐標的關係
復變數
復變數複數s可以表示為: 這就是複數的 三角表示法。
復變數
復變數利用歐拉公式: ,可以得到: ,這種形式稱為 複數的指數表示 法。根據討論問題的需要,可以把複數從一種表示形式轉換為另一種表示形式。
乘積定理
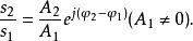
兩個複數乘積的模等於它們的模的乘積;兩個複數乘積的輻角等於它們輻角的和。
復變數
復變數
復變數
復變數
復變數
復變數
復變數
復變數
復變數根據這個定理,可以說乘積 的向量是從因子 的向量旋轉一個角度 (即 ),並伸長(縮短)到 倍得到的。如圖3所示。特別,當 =1時,乘法變成了只是旋轉。例如 相當於將 逆時針旋轉90°, 相當於將s順時針旋轉90°。
如果用指數形式表示複數
復變數則乘積定理可以簡明地表示為
復變數商定理
兩個複數的商的模等於它們的模的商;兩個複數的商的輻角等於被除數與除數的輻角之差。若
復變數則商定理可以簡明地表示為
復變數
