簡介
多復變數極大函式是單位圓盤的極大函式在B中的推廣。
多復變數極大函式
多復變數極大函式
多復變數極大函式對於ζ∈B,α>1,定義柯朗意區域為容易看出,對於B上的連續函式f,定義它的極大函式為
性質
f的極大函式Mf有下列重要性質:
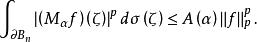
多復變數極大函式
多復變數極大函式對每一個α>1,對應常數A(α)<+∞,使得對每個均有
多複變函數論
多複變函數論簡稱多復變。它是研究多個獨立復變數的全純函式性質的學科。就工具而言,由於多複變函數論中問題的複雜性,所以涉及拓撲、微分方程、微分幾何、代數幾何、抽象代數、李群和泛函分析,以及實變函式論和複變函數論的大量概念和方法,且有自己獨特的處理辦法。
