概述
物體由於被舉高而具有的能叫重力勢能重力勢能的變化與物體質量和運動速度有關.
公式計算
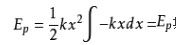
計算公式 其中,k為彈性係數,x為形變數。注意:此公式中的x必須在彈簧的彈性限度內。
彈力做功與彈性勢能變化的關係:彈性勢能是彈力做功轉化而來,彈力做正功,彈性勢能減少,彈力做負功,彈性勢能增加。彈性勢能的定義:發生彈性形變的物體各部分之間,由於有彈力的相互作用而具有勢能,這種勢能就是叫做彈性勢能。
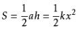
我們還可以從另外一種角度看彈力做功問題,功=力X距離。我們知道力和距離的圖象中,曲線圍成的面積就是做的功的大小。彈性力和距離的軸圍成的圖形是三角形,那么就是三角形
面積公式的面積公式:
但是我們不能錯誤的認為彈力做功就是彈性勢能,功是功,能是能,做功伴隨能量的變化,功不是能
能的關係
彈性勢能可與動能直接相互轉化,但不能與重力勢能直接轉化。核心或實質:(勢能和動能間之間可直接轉化,但勢能不能與勢能直接相互轉化,就是說不可能在動能不變的情況下轉化)
具體
物體由於發生彈性形變,各部分之間存在著彈性力的相互作用而具有的勢能叫做“彈性勢能”。在工程中又稱“彈性變形能”。例如,被壓縮的氣體、拉彎了的弓、卷緊了的發條、拉長或壓縮了的彈簧都具有彈性勢能,被壓縮或伸長的彈簧具有的彈性勢能,等於彈簧的倔強
勢能的單位與功的單位是一致的。確定彈力勢能的大小需選取零勢能的狀態,一般選取彈簧未發生任何形變,而處於自由狀態的情況下其彈力勢能為零。彈力對物體做功等於彈力勢能增量的負值。即彈力所做的功只與彈簧在起始狀態和終了狀態的伸長量有關,而與彈簧形變過程無關。彈性勢能是以彈力的存在為前提,所以彈性勢能是發生彈性形變,各部分之間有彈性力作用的物體所具有的。如果兩物體相互作用都發生形變,那么每一物體都有彈性勢能,總彈性勢能為二者之和。

