定義
常返狀態
常返狀態
常返狀態
常返狀態
常返狀態對於狀態 ,如果 ,則稱狀態 為常返狀態(返回狀態);如果 ,則稱狀態 為非常返態(滑過態)。
註:“常返”一詞,有時又稱“返回”、“常駐”或“持久”;
“非常返”也稱“滑過”或“瞬時”。
分類
常返狀態分為正常返狀態和零常返狀態。
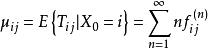
令條件數學期望:
常返狀態
常返狀態
常返狀態
常返狀態是從狀態 出發,首次到達狀態 的平均轉移步數(時間)。
常返狀態
常返狀態
常返狀態
常返狀態
常返狀態
常返狀態
常返狀態
常返狀態
常返狀態
常返狀態註:若 ,則 是從狀態 出發,首次返回狀態 的平均轉移步數,成為狀態 的平均返回時間;對應的 稱為狀態 的返回機率; 稱為從狀態 出發經過n步轉移首次返回狀態 的機率。
常返狀態
常返狀態
常返狀態
常返狀態
常返狀態正常返態和零常返態的定義:對於常返態 ,若 ,則稱狀態 是正常返的;否則,若 ,則稱狀態 是零常返的 。
常返態和非常返態的判別
常返狀態
常返狀態
常返狀態
常返狀態
常返狀態
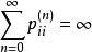
常返狀態定理: 是常返態的充要條件是 。狀態 是非常返( <1)的 。
相關定理
常返狀態
常返狀態
常返狀態
常返狀態(1) 若 =1,則系統以機率1無窮次返回狀態 ;若 <1,則系統以機率1隻有有窮次返回狀態 。
常返狀態(2) 設 是常返態,則
常返狀態
常返狀態① 是零常返態的充要條件是 ;
常返狀態
常返狀態② 是正常返態的充要條件是 。
(3)一個狀態有限的馬爾科夫鏈,不可能所有狀態都為非常返態。

