概念
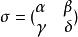
希爾伯特模形式(Hilbert modular form)是一種模形式概念的推廣。設K是全實有限次代數數域,K之共軛為K,K,…,K,n=[K∶Q],α∈K的共軛表為α,α,…,α。若D為K的主整環,Γ=SL(2,D),定義Γ在:
H={Z=(z,z,…,z)|z∈H}
上的作用為:
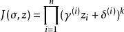
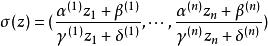
希爾伯特模形式其中:
希爾伯特模形式則Γ是SL(2,R)的不可約離散子群,稱為(狹義)希爾伯特模群。定義在H上關於希爾伯特模群的自守形式就稱為希爾伯特模形式,注意這裡自守因子為:
希爾伯特模形式當n=1時就是普通的模形式。關於希爾伯特模形式也有類似於模形式、西格爾模形式等情形的結果。
模形式論
一種特殊的自守形式的理論。由(J.-)H.龐加萊所發展的一般的富克斯群上的自守形式,是屬於單複變函數論的一個課題。由E.赫克所創的模形式是對於模群Sl2(Z)或其他算術群的自守形式,就其內容和方法而言,則應為數論的一部分。它在以後的發展中與橢圓曲線理論、代數幾何、表示論等有十分深刻的聯繫而成為數學中的一個綜合性學科。
模形式是指滿足以下兩個條件的函式ƒ(z):①ƒ(z)是上半平上的全純函式,在∞處的傅立葉展開式為α0+α1q+α2q2+…,式中q=e2πiz,αi是常數;②若則式中Г 表示所有行列式等於1的二階整數方陣構成的群,稱之為模群;k是某個整數,稱之為模形式ƒ(z)的權。因而,ƒ(z)又稱為群Г上權為k的模形式。 上半平面h上的變換 稱為模變換。
全體模形式構成的線性空間記為Mk(Г),它是複數域上的一個有限維向量空間。若以dk表示它的維數,則當k<0,k=2或k為正奇數時,dk=0;當k=0,4,6,8,10時,dk=1;當k≥12,且為偶數時,dk=dk-l2+1。
當k>1時,定義函式中求和號┡表示對不等於(0,0)的所有整數組(m,n)求和。等號右端的無窮級數是絕對收斂的,所以Gk(z)在h上是全純函式。且可證明Gk(z)屬於M2k(Г)。Gk(z)稱為艾森斯坦級數,它在∞處的傅立葉展開式為 又一個重要的例子是權為12的模形式 它與G婦(z)和G娬(z)同屬於M12(Г),因為d12=2,所以在墹(z)、G婦(z)和G娬(z)之間一定存在一個線性關係,實際上有墹(z)=(60G2(z))3-27(140G3(z))2,進而可證明Mk(Г)是由適合4α+6b=k的諸G屶(z)(z)在複數域上張成的,這裡α、b為非負整數。
令 這些τ(n)都是整數。1916年,S.A.拉馬努金關於τ(n)的性質提出如下的猜想:當m與n互素時,τ(mn)=τ(m)τ(n);當p為素數,α為正整數時1920年,L.J.莫德爾證實了這一猜想。赫克在Mk(Г)中引入了一類線性運算元(赫克運算元),類似於τ(n)所具有的性質正是這類運算元的公共本徵矢的傅立葉係數所具有的性質。這些公共本徵矢組成了Mk(Г)的一組基。拉馬努金關於τ(n)的另一個猜想1974年P.德利涅證實了這一猜想。
當模形式ƒ(z) 的傅立葉展開式中常數項α0為零時,ƒ(z)稱為歧點型模形式。
由墹(z)的乘積表達式可知墹(z)≠0(z∈h)。因此定義函式它是一個權為零的模形式。在所有模變換之下不變的亞純函式稱為 Г上的模函式。可見j(z)是模函式,進而可證明Г上任意模函式都可表成j(z)的有理式。
對於Г 的子群,也可類似地定義模形式。常見的這類子群有 式中N為正整數。研究這些群上的模形式空間的構造,是模形式論的一個重要課題。
模形式論還可用於把一個整數表成幾個整數的平方和的問題。以r_s(n)表示把n表成s個整數平方和的所有不同的表法個數,顯然有
這是二次剩餘符號,εd對所有奇數d有定義,當d呏1(mod4)時,εd=1,當d呏3(mod4)時,εd=i,平方根(сz+d)1/2的幅角總取在之內。設k為正奇數,在模形式的定義中,用j(r,z)k代替條件②中的(сz+d)k,即為權是半整數k/2的模形式定義,例如θ3(z)是Г0(4)上權為3/2的模形式。
模
一個重要的代數系統。它是一個帶運算元區A的交換(加)群M。給定集合A與交換群M,若定義了a∈A與x∈M的乘積ax∈M,並且這個積滿足條件:
1.a(x+y)=ax+ay (a∈A,x,y∈M),
則稱A為M的運算元區,稱M為帶運算元區A的模,又稱為A上的模或A模。這時,由對應(a,x)→ax確定的映射A×M→M,稱為A作用到M上的運算。任意a∈A可誘導出M的自同態a:x→ax,而考慮交換群M能否成為A模就是看能否給出映射:
μ: A→End(M), a→a.
特別地,考慮A是結合環,若滿足上述條件1的A模還滿足:
2.(a+b)x=ax+bx;
3.(ab)x=a(bx);
即映射μ:A→End(M)為環同態,則稱M為左A模或左環模。由於A到M上的運算是寫在左側,所以M就稱為左A模,記為M。類似地,有右A模M,記為M。若A有單位元1,且又滿足條件:
4.1x=x (x∈M);
則稱M為酉模或麼模。
人物簡介——希爾伯特
德國數學家。出生於普魯士的哥尼斯堡。1882—1885年在哥尼斯堡大學學習。在學期間,受到著名數學家雅可比、維爾斯特拉斯、費·紐曼、韋伯等人的指導,大大激發了數學興趣和才能。他的兩上好友A·胡爾威茨和閔可夫斯基對他數學方面的成長也產生過巨大的影響。 1885年,他因不變式理論方面的論文獲博士學位。 1892年任母校的數學副教授。1895年由F·克萊因的提議擔任了哥廷根大學的教授。哥廷根大學是具有優秀數學傳統的學府,高斯、黎曼等人曾在這裡工作。希爾伯特在這裡團結了一大批當代的著名數學家和物理學家,使哥廷根成了20世紀前期世界數學的中心與理論物理學家聚會的場所。他逝世的前一年被柏林科學院授予榮譽院士的稱號。希爾伯特不愧是本世紀領頭的數學家。他的數學興趣十分廣泛,並且所到之處都留下了光輝足跡。早期研究不變式理論。採用直接的、非算法的方法證明了果爾丹證明的代數不變式整基有限完備系的存在定理,對後來的抽象代數的發展起了推動作用。重新整理了歐幾里得幾何的公理體系,於1899年發表了 《幾何基礎》一書,把歐幾里得幾何整理為從公理出發的純粹演繹系統,並把注意力轉移到公理系統的邏輯結構,成為近代公理化思想的代表作。他提出的狄里克萊原理以及對積分方程、變分法、華林問題的研究,在數學史上都很有意義。晚年致力於數學基礎問題,把公理系統的無矛盾性看成數學可靠性的標準,是數學基礎中形式主義學派的代表人物。1990年他在巴黎國際數學家代表會上的講演中提出23個數學問題,概括了19世紀數學發展中暴露的主要問題,後來稱為希爾伯特問題。對西方的數學研究有較大的影響。希爾伯特為後人留下的著作有《數論報告》、《線性積分方程一般理論基礎》、《幾何基礎》,以及其他論文3卷,還有與別人合寫的 《數理邏輯基礎》、《數學物理方法》、《直觀幾何學》、《數學基礎》。
