定義
差商
差商
差商
差商
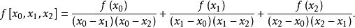
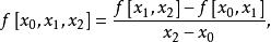
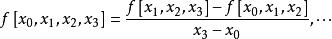
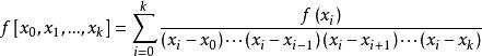
差商給定函式和插值節點用表示關於節點的k階差商(k-th Difference Quotient)(k=1,2,…,n),它們可遞歸定義為
差商
差商
差商
差商其中關於節點的0階差商定義為其函式值,即。
差商表
差商可以構造差商表(表1),按列遞推計算的各階差商:
| 節點 | 0階差商 | 1階差商 | 2階差商 | 3階差商 | 4階差商 | 差商 |
差商 | 差商 | |||||
差商 | 差商 | 差商 | ||||
差商 | 差商 | 差商 | 差商 | |||
差商 | 差商 | 差商 | 差商 | 差商 | ||
差商 | 差商 | 差商 | 差商 | 差商 | 差商 | |
差商 | 差商 | 差商 | 差商 | 差商 | 差商 | 差商 |
具體計算過程為
0階差商:
差商1階差商:
差商2階差商:
差商
差商
差商3階差商:
差商
差商差商的性質
根據差商的定義,利用數學歸納法可以證明差商具有如下性質:
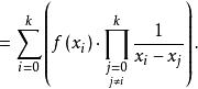
性質1
差商對有
差商
差商
差商如
性質2
差商(對稱性)差商與插值節點的順序無關,即
差商
差商
差商其中是的任意一個排列。

差商
差商
差商
差商
差商
差商
差商
差商
差商
差商
差商
差商
差商
差商
差商
差商
差商
差商
差商
差商
差商
差商 