紫銅
網站EVA中國論壇聯盟
Tokyo3cn遷移美國機房成功,論壇2010年3月22日重生!
網路協定
BEA協定
T3也稱為豐富套接字,是BEA內部協定,功能豐富,可擴展性好。T3是多工雙向和異步協定,經過高度最佳化,只使用一個套接字和一條執行緒。藉助這種方法,基於Java的客戶端可以根據伺服器方需求使用多種RMI對象,但仍使用一個套接字和一條執行緒。配置 T3 協定
1. 如果尚未執行此操作,請在管理控制台的更改中心中單擊“鎖定並編輯”。2. 在管理控制台中,展開“環境”,然後選擇“伺服器”。
3. 在“伺服器”頁上,單擊伺服器名稱。
4. 選擇“協定”>“常規”。
5. 修改“完成訊息逾時”值和“最大訊息大小”值。 注意: 這些設定套用到伺服器的默認網路配置中的所有協定。
6. 要啟用連線隧道,請單擊“啟用隧道”,並為“隧道客戶端 Ping”和“隧道客戶端逾時”提供值。 注意: 這些設定套用到伺服器的默認網路配置中支持隧道的所有協定。
7. 單擊“保存”。
8. 要激活這些更改,請在管理控制台的更改中心中單擊“激活更改”。
並非所有更改都立即生效。某些更改必須重新啟動後才能生效。
激素
簡介
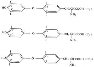
T3又名三碘甲腺原氨酸T4又名四碘甲腺原氨酸
它們是一組含碘的酪氨酸,它是以碘和酪氨酸為原料在甲狀腺腺細胞內合成。
當甲狀腺受到TSH的作用,釋放甲狀腺激素時,腺上皮細胞先通過吞飲作用把濾泡腔內的甲狀球蛋白吞入腺細胞,在溶酶體蛋白水解酶的作用下,使甲狀球蛋白分解,解脫下來的T4和T3因能抗拒脫碘酶的作用,分子又小,可以透過毛細血管進入血液循環。甲狀球蛋白分子上的T4數量遠遠超過T3,所以分泌的激素中T4約占總量的90%,T3分泌量較少,但其活性大,是T4的5倍。T4每日分泌總量約96μg,T3約30μg。T4釋放入血後,一部分與血漿蛋白結合,另一部分則呈游離狀態在血中運輸,兩者之間可以互相轉變,維持T4、T3在血液中的動態平衡,因為只有游離型,才能進入細胞發揮作用。T3釋放入血後,因為與血漿蛋白的親和力小,主要以游離型存在。每天約有50%的T4脫碘轉變為T3,故T3的作用不容忽視。
作用
1)促進生長發育2)對代謝的影響
3)其它方面,如甲狀腺激素對於一些器官的活動也有重要的作用。它對維持神經系統的興奮性有重要的意義。甲狀腺激素可直接作用於心肌,促進肌質網釋放Ca2+,使心肌收縮力增強,心率加快。
T3T4也是鑑別有無甲狀腺功能疾病的重要依據

電影
英文:Terminator 3:Rise of the Machines (簡稱T3)【國家/地區】美國
【電影導演】喬納森·默斯托(JonATHan Mostow)
【製片】 Moritz Borman Guy East Nigel Sinclair
【發行公司】 華納(Warner Bros.)
【首映日期】 2003年7月2日
【主演】
阿諾德·施瓦辛格Arnold Schwarzenegger 飾 終結者T-850 型號101
克莉絲汀娜·羅根Kristanna Loken 飾 T-X
尼克·斯塔爾Nick Stahl 飾 John Connor
克萊爾·丹內斯 Claire Danes 飾 Kate Brewster
北美重要廣域網線路之一
T3線路是北美的重要廣域網線路種類,是繼T1後出現的專用電話連線線路,其速率為44.736Mbps。T3的大部分用戶是一級ISP以及大型企業,T3線路的接口類型為BNC接口。
遊戲公司
韓國著名的遊戲公司T3,以研發勁舞團、霸王等休閒遊戲為主,在韓國所有遊戲公司中具有很高的知名度。起初的T3是一個在韓國曾經僅有18人的小公司,當時的勁舞團在韓國僅有不到400人線上的小遊戲,而如今在中國,是一個創造了同時線上人數接近80萬的神話。這個奇蹟的創造者,是久游網。他們經過2年的嘔心瀝血,終於把一款名不見經傳的休閒小遊戲運營成為可以創造巨大利潤的拳頭產品,而T3公司也一躍成為世界級的遊戲製作商。《勁舞團》的海外運營商Yedang也因此賺了個盆滿缽滿。
北京首都國際機場3號航站樓
北京首都國際機場3號航站樓主樓由荷蘭機場顧問公司(NACO)、英國諾曼·福斯特建築事務所負責設計,2000年6月,中國民用航空總局開始進行北京首都國際機場中遠期規劃研究。2004年3月26日,3號航站樓完成施工及監理招標,正式簽訂了施工和監理契約,首都機場開始三期擴建工程。共徵用了22200多畝土地,搬遷了9個村莊,共涉及1.2萬人。擴建工程將於2007年底全面竣工,2008年2月試運行,確保2008年奧運會之前投入正常運營。3號航站樓位於北京首都國際機場東邊。T3主樓及其配套工程位於現有東跑道和新建跑道之間。3號航站樓是世界最大的單體航站樓。3號航站樓(T3)由主樓和國內候機廊、國際候機廊組成,配備了自動處理和高速傳輸的行李系統、快捷的旅客捷運系統以及信息系統,總建築面積98.6萬平方米。新建一條長3800米、寬60米的跑道,滿足F類飛機的使用要求,配備了世界上最先進的三類精密自動飛機引導系統,這是我國目前最先進的起降導航系統,在很低的能見度下仍可實行飛機起降。世界上最大的飛機空中客車A380能夠順利起降。跑道試飛成功後,於2008年10月份投入試用。此外,新建北貨運區, 北京首都國際機場3號航站樓 相應配套建設場內交通系統,以及供水、供電、供氣、供油、通導、航空公司基地等設施。北京首都國際機場3號航站樓建築面積90多萬平方米,新增機位99個;新建一條長3800米、寬60米的跑道,世界上最大的飛機空客A380也能夠順利起降。此外,新建北貨運區,相應配套建設場內交通系統,以及供水、供電、供氣、供油、通導、航空公司基地等設施。這是一場浩大的工程,共徵用了22200多畝土地,搬遷了9個村莊,共涉及1.2萬人。2000年6月,民航總局開始進行首都機場中遠期規劃研究。2004年3月26日,3號航站樓完成施工及監理招標,正式簽訂了施工和監理契約,國家發改委同日批准擴建工程開工。目前,擴建工程整體外觀已竣工,各項設備安裝、精裝修已完成80%-90%,整體施工進入最後衝刺階段。擴建工程將於2007年底全面竣工,2008年2月試運行,確保2008年奧運會之前投入正常運營。其中,3號航站樓的跑道試飛成功後,將於2008年10月份投入試用。3號航站樓由主樓和國內候機指廊、國際候機指廊組成,配備了自動處理和高速傳輸的行李系統、快捷的旅客捷運系統和可靠的信息系統。旅客自動捷運系統全長4公里,每2分鐘一趟。屆時,旅客在3號航站樓出入時,令不少旅客頭疼的攜帶重物在機場內長距離奔走的問題將得到解決。 交通中心位於3號航站樓前,地下有兩層總面積為30萬平方米的巨大停車場,可停車7000輛。旅客從停車場下車後,乘坐電梯可直達候機樓內,避免了攜帶行李上下奔走之苦。 在交通中心的地面上,就是輕軌交通車站,建築面積4.5萬平方米,這一橢圓形玻璃殼體結構不但將是機場一道亮麗的風景,而且為旅客帶來便利。屆時,旅客可從城內乘坐輕軌交通直到航站樓。第二機場高速路、李天高速路、機場北線高速路、機場軌道交通等場外配套工程的建設,都為旅客從城內來往首都機場提供了方便通道。 新機場配備了世界上最先進的三類精密自動飛機引導系統,這是我國目前最先進的起降導航系統,在很低的能見度下仍可實行飛機起降,因天氣原因發生航班延誤的現象將大大減少。 3號航站樓、行李高速傳輸系統、旅客快速通行 北京首都國際機場3號航站樓 系統、城市輕軌到樓前系統、自動飛機引導系統是首都機場的5大亮點工程,均為國內規模最大的項目。其中旅客快速通行系統、行李高速傳輸系統、自動飛機引導系統為國內首創,在國際上處於領先地位。 新機場將體現出“國內一流,世界一流”的“中國第一國門”新形象。王家棟說,2008年2月,首都機場3號航站樓將試運行,屆時,首都機場將有三條跑道、三個航站樓和一個國賓樓及公務機樓投入使用,保障旅客運輸的資源十分充足。首都機場集團公司還專門成立了首都機場備戰奧運工作領導機構,制定了備戰奧運行動計畫,將全力做好機場建設、機場運行和機場安保工作。遊戲名詞
網遊《EVE ONLINE》(星戰前夜)中,在蟲洞版本新引進的艦船:戰略巡洋艦的簡稱(Technology III),包括艾瑪帝國的聖卒級,蓋倫特聯邦的海神級,米瑪塔爾共和國的洛基級,加達里合眾國的金鵬級。
財務T3
基本信息
一、產品概述面向成長型企業的資金、存貨的日常核算及管理工作,建立暢通的內部財務業務小一體化流轉,全面實現會計信息化管理,為成長型企業發展奠定堅實的管理信息平台;功能模組包括總賬、現金銀行、往來管理、財務報表模組;
開發目標:為了適應小型企業財務處理的需要,同時實現產品簡便性操作,統一登錄、流程導航。
二、產品套用特色
三、面向成長型企業的總賬、存貨的日常核算及管理工作,加強內部財務核算、存貨核算,實現會計信息化管理,財務通普及版還為企業財務人員搭建套用、學習、職業發展的個性關懷門戶。
總賬
總賬系統將財務核算和信息技術相融合,實現企業財務核算的自動化。企業以最少的人力投入、以最快的速度、以最優的準確度,及時、真實、可靠地進行賬務處理,為企業提供多角度、多方面的精細化財務數據;同時協助企業進行往來款管理、現金銀行管理等。1) 靈活的憑證錄入、查詢、審核、過賬及匯總;
2) 多種賬務處理、查詢、輸出;
3) 期末匯總、自動結轉損益、轉賬及結賬;
4) 完全支持成長型企業會計制度,系統預製成長型企業會計科目、財務報表;
企業財務人員藉助總賬系統可以實現日常財務工作的無紙化辦公。憑證錄入、審核、登記賬簿(包括:總分類賬、明細賬、日記賬等)、結賬等都由系統協助您輕鬆完成。
流程導航設定,靈活的憑證錄入、審核、查詢、記賬、結賬處理;
強大的輔助組合核算功能,從不同方面多角度提供所需信息;
自動完成現金流量統計分析;
靈活的自定義轉賬功能滿足各類業務轉賬需要。
支持按部門、個人考核管理要求,建立科目體系的部門、個人輔助賬簿,方便查詢、分析:
提供現金流量統計表、明細表
種期末結轉方式選擇,可包含未記賬憑證。
往來管理
客戶和供應商是企業價值鏈上的兩個重要環節。加強對單位往來的管理,不僅有利於加強對於往來款項的管理,減少壞賬損失,加速資金周轉,提高企業經濟效益,而且有利於營造一個高增值的價值鏈,為企業的長期、快速發展提供良好的經營環境。1) 實現多條件組合的往來款總賬、明細賬查詢,及時掌握最新情況;
2) 提供往來賬齡分析,往來賬清理等往來賬管理工作,加速流動資金的周轉;
加強對單位往來款的管理,減少壞賬損失,加速資金周轉,保障企業現金流。應收賬款賬齡分析,幫助企業及時收款,防止壞賬發生;往來款項提供全面的自動勾對,提高往來管理效率,加強往來管理力度。
現金銀行
現金、銀行存款是企業流動資產中最敏感的部分,藉助“現金銀行管理”,加強對現金和銀行存款的控制和管理,隨時掌握現金、銀行存款收付的動態和庫存現金餘額,確保現金和銀行存款的安全。1) 實時查詢銀行日記賬、現金日記賬及資金日報表;
2) 銀行對賬,系統自動編制餘額調節表;
3) 支票管理。
通過現金和銀行存款的控制和管理,隨時掌握現金、銀行存款收付的動態和庫存現金餘額,確保現金和銀行存款的安全。
出納通
是出納人員使用的一款十分簡便化工具,提供現金、銀行業務的日常處理、自動核對數據、形成銀行餘額調節表、日記賬和其他財務賬表查詢,同時支持支票管理薄方式,集成了票據通出納人員使用的各種支票,領用核銷支票所產生數據可以自動生成日記賬;進行全方位、全程化資金流變動情況的反映,幫助企業和單位開展嚴格、及時的監督管理工作。可輕鬆定製各種票據模版,方便地套打各種支票、進賬單、存取款單、信封或者各種證卡,充分滿足了用戶票據樣式多樣性的套打需求,減輕了工作強度,是票據列印、設計和管理的完美解決方案。
為出納人員提供現金、銀行業務日常處理、自動核對數據、形成銀行餘額調節表、日記賬和其他財務賬表查詢,同時支持支票管理簿方式,領用核銷支票所產生數據可以自動生成日記賬,幫助企業全方位反映資金流變動情況。
預置多種銀行支票模板,支持支票列印; 全程監管出納流水賬簿; 自動登記支票簿和日記賬。
財務報表
財務報表是國內優秀的企業管理軟體工具,與用友賬務系統之間有完善的接口,在財經領域發揮著巨大的作用。總賬子系統為企業財務核算提供了詳盡、豐富的憑證、賬表信息,財務報表則是對這些分散信息進行歸類、匯總,形成系統、概括性的報表信息。1) 提供豐富的函式、公式,保證實時、快速、準確生成企業管理所需要各種會計報表;
2) 預置工業、商業、事業單位、小企業等多行業的常用財務報表
預置多行業、新會計準則、國稅統一申報報表模板,支持企業個性化報表; 靈活快捷的格式設計和豐富的函式公式,隨時得到各種管理所需要統計報表; 支持企業出具標準及個性化的報表和圖表分析功能; 提供報表的通用導出接口(XML數據格式),供其它廠商進行調用。
核算
主要針對企業商品收發存業務進行核算,掌握商品成本情況,為企業成本核算提供基礎數據。並可動態反映庫存資金的增減變動,為降低庫存,減少資金積壓,加速資金周轉提供決策依據。支持移動平均、全月平均兩種計價方式; 各種業務處理、業務單據自動生成憑證,進入總賬系統,形成財務業務一體化流轉。產品特色
1、財務監控:規範、精細,提升效率》多賬套管理與賬套間數據交換、跨賬套查詢;
》 提供賬套複製、備份、隱藏等功能,保障財務數據安全;預置各行業科目及報表模版,快速建賬;
》 提供客戶、供應商、部門、業務員以及項目等多角度輔助核算,滿足各行業財務精細化管理需要;
》提供豐富的財務、業務、資料庫統計函式工具,支持出具專業報表,滿足企業更多管理與決策需要。
2、保障投資:高性價比購置,全線產品平滑升級
》60萬家企業管理套用的資深經驗積累,提供專業化企業全生命周期信息化管理整體解決方案;
》全線產品平滑安全升級,保障企業財力、物力和精力投入;
》提供航信財務數據接口、網銀業務、遠程套用,突破空間和時間的限制,實時掌控企業;
》提供學習、培訓、交流平台,促進個人職業發展。
![T3[網路協定] T3[網路協定]](/img/9/d60/nBnauM3X1MDO5ETO0MTM4gDM5ETMwADMwADMwADMwADMxAzLxgzL1MzLt92YucmbvRWdo5Cd0FmLxE2LvoDc0RHa.jpg)
