定義
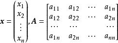
實二次型(1) n元實二次型指的是含有n個變數 的實係數二次齊次多項式
實二次型其中
實二次型為n階實對稱矩陣。
實二次型
實二次型對於取定的變數組 來說,n元實二次型f( )= x'Ax與n階實對稱矩陣 A=(a)是互相唯一確定的,稱A是二次型f的矩陣,稱f是以A為矩陣的二次型 。
實二次型
實二次型(2) 只有平方項 而沒有交叉項 ,i≠j的二次型稱為n元標準二次型
實二次型其中
實二次型
實二次型(3)如果對於n階方陣 A和 B,存在n階可逆矩陣 P使 B= P'AP,則稱 A與 B契約,記為 。矩陣之間的契約關係有反身性、對稱性和傳遞性。
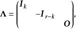
(4)所有平方項的係數為±1或0的標準二次型稱為規範二次型
實二次型其中
實二次型r是二次型的秩,k為二次型的正慣性指數,r-k為二次型的負慣性指數,k-(r-k)=2k-r為二次型的符號差 。
基本結論
實二次型
實二次型
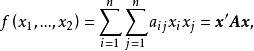
實二次型(1)對於任何變數值 ,二次型f( )= x'Ax的值恆為0 A= O。
(2)n階方陣 A和 B等價指的是存在n階可逆矩陣 P和 Q使得 B= PAQ,記為 A≌ B 。
n階方陣 A和 B相似指的是存在n階可逆矩陣 P使得 B = P AP,記為 A~ B。
實二次型n階方陣 A和 B契約指的是存在n階可逆矩陣 P使得 B= P'AP,記為 。
兩個相似的矩陣一定是等價的,兩個契約的矩陣也一定是等價的。但是,反之並不成立,即等價的矩陣未必相似,也未必契約,矩陣相似與矩陣契約是兩個不同的概念,只有當 B = P AP中的 P是正交矩陣時,才同時有 B = P'AP,所以,兩個矩陣正交相似與正交契約是一回事。
(3)對於任意一個n元實二次型f= x'Ax ,必存在正交變換 x = Py,這裡P是n階正交矩陣,把它化為標準形:
實二次型
實二次型f( )= x'Ax= ( Py)' A( Py)= y'P'APy= y'Λy=
其中,λ,... , λ就是對稱矩陣 A的n個特徵值。
(4)對於任意一個n元實二次型f= x'Ax ,必存在可逆線性變換 x= Qy,這裡 Q是n階可逆矩陣,把它化為標準形
實二次型
實二次型f()= x'Ax= ( Qy)' A( Qy)= y'Q'AQy= y'Λy=
實二次型其中,未必是對稱矩陣 A的特徵值。
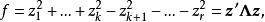
(5)慣性定理 對於任意一個n元實二次型f= x'Ax,必存在可逆線性變換 x= Rz,這裡R是n階可逆矩陣,把它化為規範形
實二次型
實二次型f()= x'Ax=
其中k和r是由 A唯一確定的(與所採用的變換的選擇無關)。
慣性定理的矩陣形式。對於任意一個n階對稱矩陣A,一定存在n階可逆矩陣 R使得
實二次型其中k和r是由B唯一確定的。
(6)契約判別法。當 A與 B是同階對稱矩陣時,它們契約若且唯若它們有相同的秩和相同的正慣性指數,因為對稱矩陣的秩就是它的正慣性指數和負慣性指數之和,所以,兩個同階對稱矩陣 A與 B契約若且唯若它們有相同的正慣性指數和相同的負慣性指數 。

