半徑確定
在設計凸輪機構時,凸輪的基圓半逕取得越小,所設計的機構越緊湊。但是,基圓半徑過小會引起壓力角增大,致使機構工作情況變壞,從下圖可知 :
凸輪機構壓力角與半徑關係
基圓半徑
基圓半徑
基圓半徑
基圓半徑顯然,在其他條件不變的情況下,基圓半徑越小,壓力角越大。基圓半徑過小,壓力角會超過許用值而使機構效率太低甚至發生自鎖。因此實際設計中,只能在保證凸輪輪廓的最大壓力角不超過許用值的前提下,考慮減小凸輪的尺寸。
凸輪機構影響
凸輪的一個重要尺寸要素是凸輪的基圓半徑。它不僅決定著推桿尖端的起始位置,而且對凸輪的尺寸大小及凸輪機構的受力狀態都有直接影響。為了說明這種影響,先介紹壓力角的概念。
一、壓力角及其對凸輪機構工作性能的影響
基圓半徑
基圓半徑
基圓半徑
基圓半徑
基圓半徑
基圓半徑
基圓半徑
基圓半徑
基圓半徑
基圓半徑
基圓半徑
基圓半徑
基圓半徑
基圓半徑
基圓半徑
基圓半徑以右圖所示的盤形機構為例,圖中力為推桿所承受的軸向力;、為導向槽作用在推桿上的正壓力,而、則為推桿在導向槽中移動時所受的摩擦力;為凸輪對推桿的正壓力,它沿接觸點的公法線nn作用,而則為推桿在凸輪輪廓表面上滑動時所受的摩擦力,它沿接觸點的公切線作用。根據力的合成法則,可將和、和、和分別合成為、和三個力,且它們之間有如下關係:
基圓半徑
基圓半徑式中,——推桿與導向槽之間的摩擦係數;
基圓半徑——推桿與凸輪之間的摩擦係數;
基圓半徑
基圓半徑、——正壓力與合力之間的夾角。
基圓半徑
基圓半徑
基圓半徑
基圓半徑從上式可以看出摩擦係數、與角、之間有如下關係:
基圓半徑
基圓半徑
基圓半徑
基圓半徑
基圓半徑
基圓半徑
基圓半徑這說明正壓力和合力之間的夾角、的大小取決於它們所對應的摩擦係數、的大小,故稱、為摩擦角。
基圓半徑
基圓半徑現以接觸點B為坐標原點建立坐標系,根據力及力矩的平衡條件,聯立等式消去、可得:
基圓半徑
基圓半徑式中為推桿尖端速度方向與公法線nn之間的夾角,稱為凸輪機構的壓力角。
由上式可以看出:當壓力角增大時,等式右側的分母將減小,因此作用力P將增大。當壓力角增大到某一數值時,等式右側的分母將為零,於是作用力P將變為無窮大,此時機構將發生自鎖,這是不允許的。因此,為使凸輪機構工作可靠、受力情況良好,必須對凸輪機構的壓力角加以限制 。
二、凸輪基圓半徑對壓力角的影響
基圓半徑
基圓半徑
基圓半徑
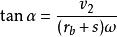
基圓半徑凸輪機構的壓力角與凸輪基圓半徑直接有關。如下圖所示,推桿尖端與凸輪在B點接觸。設凸輪上B點的速度為;推桿的速度為;推桿對凸輪的相對速度為,它實質是推桿與凸輪之間的相對滑動,因此沿公切線tt方向,那么,這三個速度組成一個速度多邊形,它們之間有下述關係:
基圓半徑
基圓半徑而
基圓半徑故
基圓半徑
基圓半徑
基圓半徑
基圓半徑當凸輪機構的運動參數給定以後,、s、均為定值,那么,基圓半徑愈大,則角愈小,對凸輪機構愈有利。這說明基圓半徑的變化將引起凸輪機構壓力角的變化,進而影響凸輪機構的工作性能 。
與最小半徑
凸輪的基圓半徑不一定是凸輪的最小半徑。因為凸輪的最小半徑是根據保證凸輪輪廓線上的最大壓力角不超過許用壓力角的條件來確定的。但在確定基圓半徑時,還要考慮其它條件,所以最後作出的凸輪基圓半徑不一定就是最小半徑 。

