相關概念
單調性
對任一數列{x},如果從某一項x開始,滿足
單調有界定理則稱數列(從第k項開始)是單調遞增的。特別地,如果上式全部取小於號,則稱數列是 嚴格單調遞增的。
同樣地,如果從某一項k開始,滿足
單調有界定理則稱數列(從第k項開始)是單調遞減的。特別地,如果上式全部取大於號,則稱數列是 嚴格單調遞減的。
單調遞增數列和單調遞減數列統稱單調數列。
有界性
對任一數列{x},如果存在某個實數A使不等式
單調有界定理恆成立,則稱實數A是數列的一個下界;同樣地,如果存在某個實數B使不等式
單調有界定理恆成立,則稱實數B是數列的一個上界。
如果一個數列既有上界又有下界,則稱這個數列是有界的。此時,存在一個正數M,使不等式
單調有界定理成立。
根據數列有界的定義可知,如果一個數列有界,那么它一定有上界和下界。反過來,如果一個數列只有上界或只有下界,則不能得出數列有界的結論。
定理
單調有界數列必有極限。
這個性質是實數連續性的一個體現,可以用實數連續性公理對其進行證明。
證明
設數列{x}單調遞增且有上界,接下來用戴德金定理證明{x}必有極限。
單調有界定理分類討論,如果{x}從第N項開始所有的項都相等(即數列有無窮多個相等的項),那么由於數列是單調遞增的,當n>N時,有x=x,因此對 。即{x}收斂到x。
如果{x}中只有有限項相等,即數列從某項開始嚴格單調遞增,那么因為{x}有上界,可取所有{x}的上界組成一個數集B,並取A=R/B。則:
單調有界定理
單調有界定理①由取法可知數集B非空,而{x}為嚴格單調遞增數列,故 。∴ 。
單調有界定理② 。
單調有界定理③∵A中任何元素都不是{x}的上界,∴ 。
單調有界定理又∵B中任何元素都是{x}的上界,∴ 。
單調有界定理故必有 。
∴由戴德金定理可知,存在唯一實數η,使得η要么是A中的最大值,要么是B中的最小值。
單調有界定理但無論是哪種情況, 。
單調有界定理
單調有界定理
單調有界定理④由數集A的意義可知, 。而數列單調遞增,故當 時, 。
單調有界定理
單調有界定理⑤由數集B的意義可知,當 時, 。
單調有界定理綜合④⑤可知,當 時,
單調有界定理
單調有界定理∴ ,即{x}有極限。
同理可證:若數列{x}單調遞減且有下界,則{x}必有極限。
套用
在一般的教科書中,單調有界定理是通過確界原理來證明的,即通過確界原理知道{x}有上(下)確界α,再證明{x}收斂於α。事實上,單調有界定理與確界原理等價,既可以由確界原理得到單調有界定理,也可以由單調有界定理得到確界原理。以下是其證法。
問題:試通過單調有界定理證明確界原理。
解:不妨設數集S非空有上界,將所有不小於S中的任一元素的有理數排成一個數列{r},並令{x}=min{r,r,r...r}。為更直觀理解{x},舉例如下:
設S=[1,2]。第一次,取r=3,則x=min{3}=3。第二次,取r=5,則x=min{3,5}=3。第三次,取r=2.5,則x=min{3,5,2.5}=2.5。第四次,取r=2.2,則x=min{3,5,2.5,2.2}=2.2……以此類推。顯然{x}單調遞減並且有下界(S中任何元素都是{x}的下界),因此{x}收斂。設極限為η,並且由上述構造可知,η≤x≤r。
利用反證法,
單調有界定理
單調有界定理①若η不是S的上界,即存在p∈S,使p>η。取 ,根據極限的幾何意義,存在正整數N,使不等式η<x<η+ε成立。而 ,從而x<p。這與x不小於S中的任一元素矛盾。
②任取a>0,若對任意k∈S,都有k≤η-a,根據有理數的稠密性(即任何兩個不相等的實數之間必定存在有理數),存在有理數r,使不等式k≤η-a<r<η成立。因為我們把所有不小於S中的任一元素的有理數排成了一個數列{r},r∈{r}。這樣一來,就得到η≤r,矛盾。
所以,η是S的上確界。
補充:有理數的稠密性
有理數在實數中是稠密的,即任何兩個不相等的實數之間總存在有理數。(實際上任何兩個不相等的實數之間不僅存在有理數,而且還存在無理數。在這裡暫時不對無理數作討論。)
用數學語言描述為:
單調有界定理
單調有界定理
單調有界定理
單調有界定理若 且 ,則存在 ,滿足 。
單調有界定理
單調有界定理
單調有界定理
單調有界定理
單調有界定理
單調有界定理
單調有界定理
單調有界定理
單調有界定理
單調有界定理
單調有界定理
單調有界定理
單調有界定理
單調有界定理
單調有界定理
單調有界定理
單調有界定理
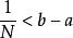
單調有界定理證明:因 ,由實數的阿基米德公理,存在正整數 ,使 ,或 。令 ,它是一個有理數。再任取有理數 ,則 。由阿基米德公理,存在自然數 ,使 ,即 。顯然 是有理數,並且對所有大於 的自然數 ,都有 。取使不等式 成立的最小的自然數 (最小指的是 ),則 為所求有理數。
單調有界定理
單調有界定理
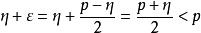
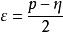
單調有界定理如果不是這樣,即假設,那么。將該不等式的兩邊與的兩邊相加,得
單調有界定理去括弧,整理即得
單調有界定理
單調有界定理這與上面矛盾。
單調有界定理
單調有界定理這樣就證明了存在有理數,使。
注意事項
(1)單調有界定理只能用於證明數列極限的存在性,如何求極限需用其他方法;
(2)數列從某一項開始單調有界的話,結論依然成立,這是因為增加或去掉數列有限項不改變數列的極限。

