在極限理論中,我們知道閉區間上連續函式具有5個性質,即:有界性定理、最大值與最小值定理、介值定理、零點定理和一直連續性定理。其中,零點定理是介值定理的一個重要推論。而閉區間上連續函式的有界性定理的證明,在很多數學教材中,有多種方法可以證明此定理。比如可以利用閉區間套定理、確界定理、單調有界定理和柯西收斂準等。我們知道,分析數學上所列舉的實數完備性的7個基本定理是相互等價的,因而從原則上講,任何一個都可以證明該定理。在本文中,我們分別討論一元連續函式和二元連續函式的有界性定理,分別給出一種證明方法。
閉區間上的一元連續函式的有界性定理
定理1(一元連續函式的有界性定理)
有界性定理
有界性定理若函式f在閉區間 上連續,則f在 上有界 。
有界性定理
有界性定理
有界性定理
有界性定理
有界性定理
有界性定理證 套用區間套定理。假設函式f在閉區間 上無界。將區間 二等分,函式f必在 或 上無界,將函式f在其上無界的閉子區間記為 。如果函式f在這兩個閉區間上都無界,則任取其一記為 。
有界性定理
有界性定理
有界性定理同理,將區間 二等分,則函式f必在其中一個閉子區間上無界,將其記為 。用二等分方法無限次地進行下去,構造出閉區間列 ,滿足:
有界性定理(i)
有界性定理(ii)
有界性定理
有界性定理①函式f在每個閉區間 上都無界。根據閉區間套定理,存在惟一的數 屬於所有的閉區間,且
有界性定理
有界性定理
有界性定理
有界性定理
有界性定理
有界性定理
有界性定理
有界性定理一方面,已知函式f在 處連續,取定 ,存在 ,對任何 且滿足 ,有 。從而,函式f在 有界。
有界性定理
有界性定理
有界性定理
有界性定理
有界性定理
有界性定理②另一方面,已知 ,則對上述 ,必存在足夠大的 ,使得 。因為函式f在區間 上無界,所以函式在區間 上 無界。
有界性定理①與②矛盾,假設不成立。於是函式f在區間 上有界。證畢。
根據有界性定理以及函式的連續性,我們可以得到下面的最大、最小值定理。
定理2
有界性定理
有界性定理若函式f在閉區間上連續,則f在上有最大值與最小值 。
閉域上二元連續函式的有界性定理
定義1
有界性定理設,E是有界區域,正數
有界性定理
有界性定理
有界性定理
有界性定理
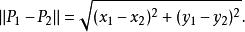
有界性定理稱為區域的直徑。當的坐標分別為和時,則
有界性定理定理3(閉域套定理)
有界性定理
有界性定理設是中的閉域列,它滿足 :
有界性定理(i)
有界性定理(ii)
有界性定理則存在惟一一點
定理4(二元連續函式的有界性定理)
有界性定理
有界性定理
有界性定理
有界性定理
有界性定理
有界性定理若二元函式在有界閉域上連續,則函式在上有界,即存在正數M,對於任意,有。
有界性定理
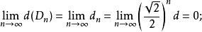
有界性定理證 假設二元連續函式在有界區域D上是無界的。設D的直徑為,選取D的一條直徑,以該直徑為邊長,作一個正方形,使得D完全包含在該正方形中,然後分別連線該正方形兩組對邊的中點,則這兩條連線會將該正方形四等分,而有界閉域D會被分為有限個小區域。
有界性定理
有界性定理
有界性定理
有界性定理
有界性定理
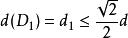
有界性定理由於在有界閉域D上無界,則至少存在某個小閉域,使在該小閉域上是無界的,記該小閉域為,直徑為,則,且。
有界性定理
有界性定理
有界性定理
有界性定理
有界性定理
有界性定理
有界性定理
有界性定理
有界性定理重複上述過程,又可將有界閉域劃分為有限個小閉域,又至少存在某個小閉域,記為,使在該閉域上無界。記的直徑為,則,且。如此這般無限重複地做下去,即可得到一有界閉域列。
該閉域列滿足:
有界性定理(i)
有界性定理(ii)
有界性定理
有界性定理(iii)在每一個上無界。
有界性定理
有界性定理
有界性定理
有界性定理
有界性定理
有界性定理由(i),(ii)知為一閉域套,由閉域套定理知,存在惟一一點,且對任意,存在,當時,。
有界性定理
有界性定理
有界性定理
有界性定理
有界性定理因為,所以函式在點連續,根據連續函式的局部有界性可知存在,使得在內有界。
有界性定理
有界性定理
有界性定理
有界性定理
有界性定理
有界性定理取上述的,則存在,當時,,從而在閉域上有界,這與條件(iii)矛盾。
有界性定理
有界性定理所以在閉域上有界。證畢。
上述用閉域套定理對有界閉域上二元連續函式的有界性定理進行證明,從一側面反映了此證明與用閉區間套定理證明閉區間上連續函式的有界性定理有異曲同工之妙,但值得注意的是:利用閉區間套定理證明閉區間上連續函式的有界性定理時,只需要將該閉區間不斷地二等分,就可以得到一列閉區間套;利用閉域套定理對閉域上二元連續函式的有界性定理進行證明時,我們應該將該閉域幾等分,如何去等分卻是個難題。
