基礎概念
定義
局部有界空間
局部有界空間
局部有界空間設 是拓撲線性空間,如果X中存在由有界集組成的局部基,則稱X是局部有界的拓撲線性空間,簡稱為 局部有界空間;如果X中存在由凸集組成的局部基,則稱X是局部凸拓撲線性空間,簡稱為 局部凸空間。我們知道,度量空間是拓撲空間;反之,拓撲空間要在一定條件下才能定義與拓撲相一致的度量而成為度量空間,拓撲空間X稱為 可度量化的,如果在X上有度量 ,使由 導出的度量拓撲就是X上的拓撲。
相關概念
局部有界空間設X是數域K上的線性空間,又是度量空間,度量為 。
局部有界空間(1)若 滿足
局部有界空間
局部有界空間則稱 為 平移不變度量。
局部有界空間
局部有界空間
局部有界空間
局部有界空間(2)設由 導出拓撲 ,若 為拓撲線性空間,則稱 為 度量線性 空間。
局部有界空間
局部有界空間
局部有界空間
局部有界空間
局部有界空間
局部有界空間
局部有界空間
局部有界空間
局部有界空間
局部有界空間
局部有界空間設X為數域K上線性空間, 為泛函,若p滿足(N2)(絕對齊性)與(N3)(三角形不等式),則稱p為X上的 半範數;若p為X上半範數,則稱 為 賦半范空間,若p滿足(N1)(正定性)與(N3)以及(N2)*準齊性 ,其中 .則稱p為X上的 準範數;若p為X上的準範數,則稱 為 賦準范空間,易知範數必是半範數,反之不真.半範數比範數僅少了一個正定性公理。取 ,由絕對齊性得 ,在三角形不等式中令 ,得到 .但 未必蘊涵 。
Minkowski泛函
局部有界空間設X是線性空間, 為吸收集,則稱X上的泛函
局部有界空間為A的 Minkowski泛函。
可賦范
局部有界空間設X是拓撲線性空間.若X上可定義範數,使範數誘導的度量拓撲 ,則稱X是 可賦范的。
相關性質定理
命題1
局部有界空間
局部有界空間
局部有界空間
局部有界空間設X為數域K上線性空間, 為X上平移不變度量,則 為度量線性空間的充分必要條件是:對每個 。時有 。我們知道在第一可數的拓撲空間中,收斂可以用點列而不需用網來描述,度量空間是第一可數的。定理1指出,對於Hausdorff的拓撲線性空間來說,第一可數性決定了可度量性。
定理1
局部有界空間
局部有界空間
局部有界空間
局部有界空間
局部有界空間(度量化定理)設 是Hausdorff的拓撲線性空間,若 還滿足第一可數公理(即具有可數局部基),則 可度量化,且X上有平移不變度量 ,使 。
推論
局部有界空間必具有可數局部基,從而Hausdorff的局部有界空間必可度量化。
局部有界空間
局部有界空間
局部有界空間
局部有界空間
局部有界空間
局部有界空間證明: 設 是局部有界空間, 是 的有界鄰域,則 就是 的局部基,故 滿足第一可數公理,由定理1可知推論成立,證畢。
命題2
設X為數域K上線性空間,p是X上的一個半範數或準範數,則
局部有界空間於是賦準范空間與賦半范空間都是拓撲線性空間,其半範數與準範數是連續的。
命題3
賦準范空間是度量線性空間。
命題4
設p是線性空間X上的一個半範數,則
局部有界空間(1) 是X的線性子空間;
局部有界空間
局部有界空間(2)對任何 ,集 是X中的平衡吸收凸集。
定理2
局部有界空間
局部有界空間設A是拓撲線性空間X中的吸收凸子集, 是A的Minkowski泛函, ,則
局部有界空間(1) ;
局部有界空間
局部有界空間(2)若 ,則 ;
局部有界空間(3)若A還是平衡的,則 是半範數;
局部有界空間(4) ;
局部有界空間(5) ;
局部有界空間
局部有界空間
局部有界空間(6) 連續 ;
局部有界空間
局部有界空間
局部有界空間(7) 連續 。
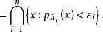
定理3
局部有界空間設X是線性空間,在X上給定一族半範數 .令
局部有界空間其中
局部有界空間
局部有界空間
局部有界空間
局部有界空間
局部有界空間
局部有界空間
局部有界空間
局部有界空間
局部有界空間則存在唯一拓撲 使 為局部凸空間且 為其局部基,X是Hausdorff空間若且唯若 有 ,稱 為 由半範數族 生成的拓撲。
推論1
賦范空間是Hausdorff的局部凸空間。
推論2
局部有界空間
局部有界空間
局部有界空間設線性空間X上的拓撲由給定的一列半範數 生成且滿足 有 ,則X是局部凸的度量線性空間。
定理4
局部有界空間
局部有界空間設X是局部凸空間,則它的拓撲 必可由一族連續半範數 生成。
定理5
設X是Hausdorff的拓撲線性空間,則下列條件等價:
(1)X是可賦范的;
局部有界空間(2)在原點 存在有界凸鄰域;
(3)X是局部凸的且是局部有界的。
在Hausdorff的拓撲線性空間類中,局部凸空間與局部有界空問是最重要的兩類空間,它們間有下述關係(見圖1):
圖1
