索伯列夫空間的動機
在研究偏微分方程中,人們往往需要運用泛函分析的相關知識,因此需要找到一個合適的空間。在索伯列夫空間中,偏微分方程的解得到了某種意義下的“弱化”(下見弱導數部分),這導致人們可以在更大的空間中求偏微分方程的解以及解的正則性等性質。
弱導數
弱導數的動機
索伯列夫空間[數學用語]
索伯列夫空間[數學用語]
索伯列夫空間[數學用語]
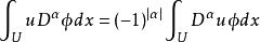
索伯列夫空間[數學用語] 記 是 的一個子集,假設有一個連續可微函式 以及具有緊支集的光滑函式 ,利用分部積分公式可知:
索伯列夫空間[數學用語]
索伯列夫空間[數學用語]
索伯列夫空間[數學用語]
索伯列夫空間[數學用語] 注意到因為函式 具有緊支集,故式中的邊界項為 。因此我們考慮多重指標 ,其中 為非負整數,我們記 ,則有
索伯列夫空間[數學用語] 其中
索伯列夫空間[數學用語] 我們記
索伯列夫空間[數學用語]
索伯列夫空間[數學用語]
索伯列夫空間[數學用語]
索伯列夫空間[數學用語] 則 是函式 的導數。弱導數就是這樣的思想在 空間裡的類比。
弱導數的定義
索伯列夫空間[數學用語]
索伯列夫空間[數學用語]
索伯列夫空間[數學用語] 假設 , 是一個多重指標,若對於任何測試函式 ,
索伯列夫空間[數學用語]
索伯列夫空間[數學用語]
索伯列夫空間[數學用語]
索伯列夫空間[數學用語] 則稱 是 的 階弱偏導數,記做
索伯列夫空間[數學用語]
索伯列夫空間[數學用語] 可以證明如果一個函式的 階弱偏導數存在,那么偏導數在幾乎處處為零的意義上是唯一的。
索伯列夫空間的定義
索伯列夫空間[數學用語]
索伯列夫空間[數學用語] 對於任何實數 ,以及實數 ,我們可以定義索伯列夫空間 。
整數k的索伯列夫空間
索伯列夫空間[數學用語]
索伯列夫空間[數學用語]
索伯列夫空間[數學用語]
索伯列夫空間[數學用語]
索伯列夫空間[數學用語]
索伯列夫空間[數學用語]
索伯列夫空間[數學用語]
索伯列夫空間[數學用語] 當 為正整數的時候(此時記 為 ),索伯列夫空間 是由局部可積函式 構成,其中 滿足:對於任何多重指標 , 存在且屬於 。
索伯列夫空間是賦范線性空間,在以下範數下其為巴拿赫空間:
索伯列夫空間[數學用語]
索伯列夫空間[數學用語]
索伯列夫空間[數學用語]
索伯列夫空間[數學用語] 若 ,該空間往往記為 ,我們使用 表示該空間因為此時索伯列夫空間為希爾伯特空間。
非整數s的索伯列夫空間
索伯列夫空間[數學用語]
索伯列夫空間[數學用語] 當 為非整數時,索伯列夫空間 可由傅立葉變換定義:
索伯列夫空間[數學用語] 函式的 範數是
索伯列夫空間[數學用語] 索伯列夫延拓運算元
延拓定理
索伯列夫空間[數學用語]
索伯列夫空間[數學用語]
索伯列夫空間[數學用語]
索伯列夫空間[數學用語]
索伯列夫空間[數學用語]
索伯列夫空間[數學用語]
索伯列夫空間[數學用語] 若 有界且邊界 是 (此處指在局部邊界可以表示為一個 函式的圖像),選擇任何一個有界開集 滿足 (此處指存在一個緊集 滿足 )。 則存在一個有界線性運算元
索伯列夫空間[數學用語]
索伯列夫空間[數學用語] 滿足對於任何有
索伯列夫空間[數學用語]
索伯列夫空間[數學用語] (i) 在中幾乎處處:;
索伯列夫空間[數學用語]
索伯列夫空間[數學用語] (ii)的支集包含於;
索伯列夫空間[數學用語]
索伯列夫空間[數學用語]
索伯列夫空間[數學用語]
索伯列夫空間[數學用語]
索伯列夫空間[數學用語] (iii) 存在依賴於,和的常數滿足:。
全延拓運算元
索伯列夫空間[數學用語]
索伯列夫空間[數學用語]
索伯列夫空間[數學用語]
索伯列夫空間[數學用語]
索伯列夫空間[數學用語]
索伯列夫空間[數學用語]
索伯列夫空間[數學用語] 若且是一個李普希茲區域,則存在一個將上幾乎處處定義的函式送到上幾乎處處定義的函式的線性運算元滿足且對於任何正整數有。
索伯列夫嵌入
索伯列夫嵌入又稱為索伯列夫不等式,對於一個函式空間,人們自然會問一個問題,也就是這個函式空間與其他函式空間關係的問題。索伯列夫不等式恰好能夠描述索伯列夫空間與其他函式空間的嵌入關係。
Morrey不等式
索伯列夫空間[數學用語]
索伯列夫空間[數學用語]
索伯列夫空間[數學用語] 對於,那么存在常數使得對於任何都有
索伯列夫空間[數學用語]
索伯列夫空間[數學用語] 其中。
推廣:
索伯列夫空間[數學用語]
索伯列夫空間[數學用語]
索伯列夫空間[數學用語] 如果,那么存在一個常數使得對於任何
索伯列夫空間[數學用語]
索伯列夫空間[數學用語]
索伯列夫空間[數學用語]
索伯列夫空間[數學用語]
索伯列夫空間[數學用語]
索伯列夫空間[數學用語] 其中若,,若,為任何中的實數。
Gagliardo-Nirenberg-Sobolev不等式
索伯列夫空間[數學用語]
索伯列夫空間[數學用語] 不等式:如果,則存在常數使得對於任何函式都有
索伯列夫空間[數學用語]
索伯列夫空間[數學用語]
索伯列夫空間[數學用語]
索伯列夫空間[數學用語]
索伯列夫空間[數學用語]
索伯列夫空間[數學用語] 嵌入:若是一個中的有界開集且其邊界為的。假設,那么對於,都有,且存在常數使得
![索伯列夫空間[數學用語] 索伯列夫空間[數學用語]](/img/f/13f/nBnauM3X3MjMzgDN0UDOyUTN1UTM1QDN5MjM5ADMwAjMwUzL1gzLwEzLt92YucmbvRWdo5Cd0FmLyE2LvoDc0RHa.jpg)
