概述
做勻速圓周運動的物體,加速度指向圓心,這個加速度叫做向心加速度。物體做圓周運動時,沿半徑指向圓心方向的外力(或外力沿半徑指向圓心方向的分力)稱為向心力。
公式:F向=mrω^2=mv^2/r=4π^2mr/T^2
由牛頓第二定律,力的作用會使物體產生一個加速度。向心力產生的加速度就是向心加速度。
方向:指向圓心。可理解為做圓周運動物體加速度在指向圓心方向上的分量。
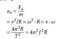
公式:a=rω^2=v^2/r=4π^2r/T^2
所有做曲線運動的物體都有向心加速度,向心加速度反映速度方向變化的快慢。
向心加速度又叫法向加速度,意思是指向曲線的法線方向的加速度。
當物體的速度大小也發生變化時,還有沿軌跡切線方向也有加速度,叫做法向加速度。
公式
公式右圖公式中,表示向心加速度,表示向心力,表示物體質量,表示物體圓周運動的線速度(切向速度),表示物體圓周運動的角速度,表示物體圓周運動的周期,表示物體圓周運動的頻率,表示物體圓周運動的半徑。
由牛頓第二定律,力的作用會使物體產生一個加速度。合外力提供向心力,向心力產生的加速度就是向心加速度。可能是實際加速度,也可能是物體實際加速度的一個分加速度。
方向
方向始終與運動方向垂直,方向時刻改變且指向圓心,不論加速度的大小是否變化,的方向是時刻改變的,所以圓周運動一定是變加速運動。可理解為做圓周運動物體加速度在指向圓心方向上的分量。
向心加速度是矢量,並且它的方向無時無刻不在改變且指向圓心。
所有做曲線運動的物體都有向心加速度,向心加速度反映的是圓周運動在半徑方向上的速度方向(即徑向即時速度方向)改變的快慢。
向心加速度又叫法向加速度,意思是指向曲線的法線方向的加速度。
當物體的速度大小也發生變化時,還有沿軌跡切線方向也有加速度,叫做切向加速度。
向心加速度的方向始終與速度方向垂直,也就是說線速度始終沿曲線切線方向。
“向心加速度”難點的突破
高一物理《曲線運動》中的“向心加速度”一節,既是教材的重點,也是教材的難點。
一、了解和掌握學生的思維障礙
只有認真研究和探索學生在學習“向心加速度”中的困難所在,然後才能做到有的放矢,對症下藥。
在本節內容的學習中,學生的疑難點主要有二:一是“既然勻速圓周運動的速度大小不變,卻又具有加速度,不好理解”。二是“既然加速度方向指向圓心,物體何不向圓心運動?”學生之所以會產生這樣的疑問,是有其認識根源的。
其一,學生對變速直線運動記憶猶新,尤對該運動中“加速度總導致速度大小的改變”印象更為深刻.他們立足於已有的知識和經驗來看待勻速圓周運動的加速度,於是難免以老框框套新問題,這種思維定勢的負遷移作用,使他們的思維限制在已有的運動模式之中而忽視了問題的不同本質。
其二,學生在此之前雖學習了平拋、斜拋運動,但主要是側重於運動的合成和分解知識的套用,至於拋體的速度方向何以會時刻改變,它與加速度有怎樣的關係,書中並未詳述,學生沒有建立起較為清晰的模式。他們多數僅僅是從經驗出發,被動地接受“物體受到跟速度方向成角度的重力,所以做曲線運動”這一事實。因此可以說他們是在知識準備不足,思維想像無所模擬的情況下來接受新知識的。於是一旦接觸到圓周運動,就表現為不能順應,對於向心加速度感到很抽象,甚至不可思議。
如果我們能在教學之始就注意到這些因素,以指導自己從學生的實際出發,採取相應的方式和方法,對於學生理解和掌握向心加速度的概念,就會收到事半功倍之效。
二、類比引導,確認加速度的存在
如何使學生確認勻速圓周運動具有加速度,這是教學中的一個重要環節。筆者的做法是,排除變速直線運動這一思維定勢的干擾,用斜上拋運動“搭橋”—一利用斜上拋和圓周運動的速度方向時刻改變這一共性,引導啟發學生通過相似聯想,從而確認向心加速度的存在。
學生已知斜上拋運動的質點受到單純重力的作用,具有重力加速度,也知道質點在任一時刻的即時速度方向總是沿著曲線的切線方向。那么其速度方向是怎樣改變的呢?為說明這一問題,可畫出圖1。
對於加速度和速度在同一直線上,只改變速度的大小不改變速度的方向;如果兩者有夾角,則一般情況下既改變速度的大小又改變速度的方向,學生已有初步了解.鑒於此,教師可因勢利導,將圖1中的重力加速度g分解成切向和法向分量(對學生可不言及切向和法向分量名詞,只說沿速度方向和垂直於速度方向)。如圖2,指出在a、c兩點加速度都分解成沿速度方向和垂直於速度方向兩個分量,沿速度方向的加速度改變了速度的大小,垂直於速度方向的加速度改變了速度的方向。至於質點在拋物線頂點b時,則因重力加速度與速度方向垂直,全部用來改變速度的方向(為下文推導向心加速度方向埋一伏筆)。這裡還要向學生強調:如果沒有垂直於速度方向的加速度,則拋體就將沿切線方向飛出而做直線運動。
如上講解分析之後,再引申過渡到勻速圓周運動,指出一定存在一個使速度方向時刻改變的加速度,否則質點就要沿切線方向飛出而做直線運動,也就順理成章了。
這裡,雖然用到了加速度的分解知識,看似繁瑣,甚至有些離題,但實則是避難就易,啟發學生通過類比聯想,順乎自然地跨越已有運動模式的困擾,降低了抽象思維的難度,學生易於接受。
三、分析推理,確定加速度的方向
在學生已初步認識到勻速圓周運動質點具有使速度方向時刻改變的加速度的基礎上,怎樣進一步使學生心悅誠服地接受向心加速度的方向“在任一點都沿著半徑指向圓心”這一結論,是教學中的又一個環節。
首先,賴於學生對物體做曲線運動的條件的了解,結合上述斜上拋運動速度方向的改變原因(圖1、2),讓學生分析得出“向心加速度的方向必指向圓內”,此乃第一步;繼而抓住勻速圓周運動的“速度大小不變,方向改變”這一重要特徵,啟發學生分析思考,欲滿足這一條件,則必然在速度方向上沒有加速度分量,結合圖2質點在拋物線頂點b時的情形得出,“向心加速度在任何一點必定和速度垂直”的結論,此乃第二步;第三步,勻速圓周運動的軌跡是圓,速度方向總沿著圓的切線方向,則垂直於切線的只能是圓的半徑。由以上三個特點得出:“質點做勻速圓周運動時,它在任一點的加速度都是沿著半徑指向圓心”(並據此畫出圖3).故此稱為“向心加速度”。
至此,學生對向心加速度的存在及其方向的認識和理解,就不再感到空洞和模糊,而是較為充實和清晰了。
至於向心加速度公式的推導,由於學生的思維已從單純的抽象概念轉變到較能把握住的明晰的空間形象,因此不論是用矢量三角形或其它途徑推導公式,學生均不感到困難。筆者的做法是,導出加速度方向後,讓學生自己閱讀課文,引導和指點他們自己按課本所述矢量三角形法推導出向心加速度公式。
四、兩個問題的解析
通過下面兩個問題的探討和解析,可進一步鞏固和深化學生對勻速圓周運動的認識和理解。
1.向心加速度表征什麼意義?
要弄清這個問題,首先要明確矢量三角形中△v的物理意義
2.做勻速圓周運動的物體是否“落”向圓心?
這個問題寓知識於趣味之中,很值得提出來與學生一起探討,如圖5所示,若物體在a點不再具有加速度aa,則物體必將沿ae方向飛出,經t秒後到達e點,而現在物體卻“落”到b點上,即離開了ae一段距離eb。當時間t取得足夠短時,b點和a點非常接近,且以a點為極限,則可認為ab弧和ab弦互相重合,eb和ad互相重合,且有ab弦=vt,eb=ad。因rt△abc∽rt△adb,則ad/ab=ab/ac,即
由此可見,物體確是時時“落”向圓心,只不過並不能真的到達圓心而已.顯然,這是向心加速度導致的結果。
思維誤區
①誤認為勻速圓周運動的向心加速度恆定不變,所以是勻變速運動。實際上,合力方向時刻指向圓心,加速度是時刻變化的。
②據公式,誤認為與成正比,與半徑成反比。事實上,只有在半徑確定時才能判斷與或與的關係。
③誤認為做圓周運動的加速度一定指向圓心。事實上,只有做勻速圓周運動的物體其加速度才指向圓心,做變速圓周運動的物體存在一個切向加速度,所以不指向圓心。

