簡介
物化性質
穩定性:Stableatnormaltemperaturesandpressures.
儲存條件:2-8ºC
蒸汽壓:1.89E-10mmHgat25°C
安全信息
危險類別碼:R63
安全說明:53-22-36/37/39-36-26
危險品標誌:Xn
分子結構數據
1、摩爾折射率:95.87
2、摩爾體積(cm/mol):290.8
3、等張比容(90.2K):769.1
4、表面張力(dyne/cm):48.8
計算化學數據
1、疏水參數計算參考值(XlogP):4.5
2、氫鍵供體數量:2
3、氫鍵受體數量:2
4、可鏇轉化學鍵數量:0
5、拓撲分子極性表面積(TPSA):48.9
6、重原子數量:24
7、表面電荷:0
8、複雜度:538
9、同位素原子數量:0
10、確定原子立構中心數量:7
11、不確定原子立構中心數量:0
12、確定化學鍵立構中心數量:0
13、不確定化學鍵立構中心數量:0
14、共價鍵單元數量:1
用途
用於慢性消耗性疾病、重病及手術後體弱消瘦、年老體弱、骨質疏鬆症、小兒發育不良、再生障礙性貧血等。
藥典標準
來源(名稱)、含量(效價)
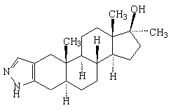
本品為17-甲基-2'H-5α-雄甾-2-烯-[3,2-c]吡唑-17β-醇。按乾燥品計算,含C21H32N2O不得少於98.0%。
性狀
本品為白色結晶性粉末;無臭;略有引濕性。
本品在乙醇或三氯甲烷中略溶,在乙酸乙酯或丙酮中微溶,在苯中極微溶解,在水或甲醇中幾乎不溶。
比鏇度
取本品,精密稱定,加無水乙醇溶解並定量稀釋製成每1ml中約含20mg的溶液,依法測定(2010年版藥典二部附錄ⅥE),比鏇度為+34°至+40°。
鑑別
(1)取本品約2mg,加對二甲氨基苯甲醛試液3ml,顯黃綠色,置紫外光燈(365nm)下檢視,顯黃綠色螢光。
(2)取本品,加無水乙醇溶解並稀釋製成每1ml中約含40μg的溶液,照紫外-可見分光光度法(2010年版藥典二部附錄ⅣA)測定,在224nm的波長處有最大吸收。
(3)本品的紅外光吸收圖譜應與對照的圖譜(《藥品紅外光譜集》597圖)一致。
檢查
有關物質
取本品,加二氯甲烷-無水乙醇(9:1)溶解並稀釋製成每1ml中含10mg的溶液,作為供試品溶液;精密量取適量,用二氯甲烷-無水乙醇(9:1)分別稀釋製成每1ml中含10μg、30μg與50μg的溶液,作為系列對照溶液;另取司坦唑醇與美雄諾龍對照品,加二氯甲烷-無水乙醇(9:1)溶解並稀釋製成每1ml中含司坦唑醇10mg和美雄諾龍0.1mg的溶液,作為對照品溶液。照薄層色譜法(2010年版藥典二部附錄ⅤB)試驗,吸取上述5種溶液各10μl,分別點於同一矽膠G薄層板上,以三氯甲烷-甲醇(19:1)為展開劑,展開,晾乾,噴以20%硫酸乙醇溶液,在100℃加熱10~15分鐘至斑點清晰,置紫外光燈(365nm)下檢視。對照品溶液應顯兩個清晰分離的斑點;供試品溶液如顯雜質斑點,與系列對照溶液的主斑點比較,雜質總量不得過2.0%。
乾燥失重
取本品,在105℃乾燥至恆重,減失重量不得過1.0%(2010年版藥典二部附錄ⅧL)。
熾灼殘渣
不得過0.1%(2010年版藥典二部附錄ⅧN)。
含量測定
取本品乾燥品約0.27g,精密稱定,加冰醋酸30ml微熱使溶解,放冷,加結晶紫指示液1滴,用高氯酸滴定液(0.1mol/L)滴定至溶液顯綠色,並將滴定的結果用空白試驗校正。每1ml高氯酸滴定液(0.1mol/L)相當於32.85mg的C21H32N2O。
藥理作用
司坦唑醇本品為高效同化激素,其蛋白同化作用為甲基睪丸素的30倍,而雄激素活性僅為後者的1/4。能促進機體蛋白質合成及抑制蛋白質異生,減少鈣、磷排泄,減輕骨髓抑制,並能降低血膽固醇和甘油三酯,而男性化副作用甚微。
可用於遺傳性血管神經性水腫的預防和治療;嚴重創傷、慢性感染、營養不良等消耗性疾病。用於治療慢性消耗性疾病及手術後的體弱消瘦、年老體衰、小兒發育不良、骨質疏鬆症、再生障礙性貧血等。還用於防治長期使用皮質激素引起的腎上腺皮質功能減退。本品不宜作一般營養藥用。
藥物性狀
白色或類白色結晶性粉末,無臭。幾乎不溶於水,溶於乙醇、氯仿,微溶於丙酮。密閉避光保存。本品蛋白同化作用強而雄性化活性弱,分化指數約120。
臨床用於治療多種涉及血管的疾病,如貝赫切特綜合徵中的血管現象、遺傳性血管神經性水腫、雷諾綜合徵、淺層血栓性靜脈炎、靜脈潰瘍等。同時亦可用於慢性消耗性疾病、骨質疏鬆,並與生長激素共同治療特納綜合徵。不良反應同苯丙酸諾龍。口服:2-10mg/次。每日或隔日1次。片劑:2mg。
臨床套用
性激素轉移性乳腺癌和卵巢癌套用睪丸酮治療常可暫時減輕症狀,作用原理未明,可能與其抗雌激素作用有關,也可能通過反饋性抑制腺垂體促性腺激素分泌,從而減少卵巢分泌雌激素。子宮肌瘤套用雄激素治療,常能抑制肌瘤繼續生長,這也可能與其抗雌激素有關。再生障礙性貧血治療再生障礙性貧血和其他原因引起的貧血,可能使骨髓造血功能得到改善,特別是紅細胞生成,但起效很慢。
療程持續5-6個月。停藥後部分病例可復發,但恢復治療仍能得到緩解。虛弱性病症包括手術後或各種長期消耗性慢性疾病,老年性骨質疏鬆症以及長期或大量套用糖皮質激素的病人,都可用同化激素治療,糾正負氮平衡,增進食慾,使患者主觀感覺改善,加速身體的康復。
用法用量
成人和青少年常用量
①預防和治療遺傳性血管神經性水腫:口服,開始一次2mg,一日3次,女性可一次2mg,一日2次。應根據病人的反應個體化給藥。如治療效果明顯,可每間隔1—3月減量,直至每日2mg維持量。但在減量過程中,需密切觀察病情。
②用於慢性消耗性疾病、手術後體弱、創傷經久不愈等治療;口服,一日3次,一次2—4mg,女性酌減。2.小兒常用量用於遺傳性血管神經性水腫。6歲以下,每日口服1mg,僅在發作時套用;6~12歲,每日口服2mg,僅在發作時套用。口服,成人每次2mg,每日2~3次。兒童每日1~4mg,分1~3次服。
不良反應
長期使用可能引起黃疸,停藥後可消失。服藥初期,下肢及顏面可能浮腫。長期使用可引起肝損害,黃膽。肝功不全不宜使用。如出現痤瘡等男性化反應應停藥。有輕微的女性男性化作用、月經紊亂或閉經,可導致水鈉瀦留。服藥初期,下肢、顏面可能出現浮腫,繼續服藥能自行消失。少數病例可發生高鈣血症。長期用藥可致肝損害,並可能誘發肝癌。
注意事項
1.患胃潰瘍,肝、肺、心等功能不全者慎用。
2.如長期使用可有肝功能障礙、黃疸等。
3.如出現痤瘡等男性化反應應停藥。
專家點評
國內報導,採用司坦唑醇、山莨菪鹼、多抗甲素聯合方案(簡稱SAP方案)治療再生障礙性貧血者56例,有效率達89%,並且顯效較快,治癒和緩解率較高(52%)。單用司坦唑組18例,緩解4例,明顯進步5例,無效9例,總有效率50%。司坦唑可以增強造血幹細胞增殖和分化。採用SAP方案針對再生障礙性貧血不同發病機制,發揮各藥之長,補其之短,從而增加了療效。司坦唑醇蛋白同化作用較強,為甲睪酮的30倍,雄激素活性為後者的0.25倍,分化指數為120,男性化副作用甚微。司坦唑醇蛋白同化作用較強,為甲睪酮的30倍,雄激素活性為後者的1/4,分化指數為120。具有促進蛋白質合成、抑制蛋白質異生、降低血膽固醇和三醯甘油、促使鈣磷沉積和減輕骨髓抑制等作用,能使體力增強、食慾增進、體重增加,而男性化,不良反應甚微。適用於再生障礙性貧血、白細胞減少症、血小板減少症等。

