定義
可測集
可測集
可測集設 ,若對任意的點集 ,有 ,則稱E為Lebesgue可測集,簡稱可測集。
注意事項如下:
(1)可測集的全體記為M,對於可測集E,稱其外測度為測度,記為m(E)。
(2)稱測度為零的可測集為零測集。空集、有限集、可數集皆為零測集。
(3)通常稱定義中的條件為卡氏條件,稱其中的集T為試驗集。
相關定理
零集
零集為可測集。
證明:設E為零集,m*(E)=0,任意A⊂R,因為A∩E⊂E,所以有0≤m*(A∩E)≤m*(E),得m*(A∩E)=0,於是
可測集故E∈M。
可測集的補集
若E為可測集,則E的補集也是可測集。
可測集的並集交集
若A,B為可測集,則A∪B,A∩B,A\B皆為可測集。
可測集
可測集
可測集證明:對任意 ,易得 ,依次利用外測度的次可加性、B的可測性(取 為試驗集)以及A的可測性(取T為試驗集),有:
可測集
可測集且
可測集故得到。
可測集
可測集所以可知A∪B是可測集,從而是可測集,A\B=也是可測集。
可數可加性
可測集
可測集
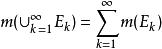
可測集若是互不相交的可測集列,則並集為可測集,且。
可測集證明:對任意的,由外測度的次可加性等性質可知
可測集
可測集
可測集
可測集所以是可測集,令,則有。
可測集列的交與並
可測集
可測集
可測集(1)若是可測集列,則並集為可測集,且。
可測集
可測集(2)若是可測集列,則交集為可測集。
可測集
可測集
可測集(3)若有遞增可測集列,則,此時對可測集的極限有定義。
可測集
可測集
可測集
可測集(4)若有遞減可測集列,且,則,此時對可測集的極限有定義。
(5)任一可測集均可以表示為一列遞增的有界可測集之並。
(6)任一可測集均可以表示為一列兩兩不交的有界可測集之並。
可測集類
第一類
可測集中的矩體是可測集。
可測集
可測集
可測集
可測集
可測集
可測集
可測集證明:設矩體,對任意矩體,不妨設。記矩體,把分割成有限個互不相交的矩體之並:,則有,從而得到
可測集此時易得,矩體S為可測集。
第二類
可測集由中開集的構造可知,每個開集可寫成可列個互不相交的半開半閉的矩體之並,故開集必為可測的。由此易得到如下結論:
可測集
可測集開集、閉集、集、集、Borel集皆為可測集。
可測集的等價刻畫
可測集設,則下列條件等價:
(1)E是可測集;
(2)對任意ε>0,存在開集G⊃E,使m*(G\E)<ε;
(3)對任意ε>0,存在閉集F⊂E,使m*(E\F)<ε;
可測集(4)存在集H⊃E,使得m(H\E)=0;
可測集(5)存在集K⊂E,使得m(E\K)=0。

