定義
設
友矩陣是數域F上的首項為1的多項式,則n階矩陣:
友矩陣稱為多項式f(t)的友矩陣(或伴侶矩陣),方陣的有理標準形就是由友矩陣塊構成的分塊對角矩陣,而有理標準形在套用上以及理論推導中,都有較大的作用。
相關定理
定理1
每一個首1多項式既是它的友矩陣的最小多項式,又是它的友矩陣的特徵多項式。
友矩陣
友矩陣
友矩陣如 的極小多項式的次數為n,那么與每一個特徵值對應的最大的Jordan塊就是與每一個特徵值對應的唯一的Jordan塊.這樣的矩陣是無損的,特別地,每一個友矩陣都是無損的,當然,不一定每個無損的矩陣 都是友矩陣,但是A與A的特徵多項式的友矩陣C有同樣的Jordan標準型(與每一個不同的特徵值 對應的只有一個分塊,所以A與C相似。
定理2
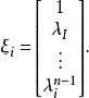
友矩陣設C為多項式p(x)的友矩陣, 是C的特徵值,則
友矩陣
友矩陣是C的對應於 的特徵向量。
定理3
友矩陣n階複數矩陣A相似於它的特徵多項式 的友鉅陣,當日僅當A的最小多項式與特徵多項式相同。
定理4
友矩陣
友矩陣
友矩陣設 有極小多項式 以及特徵多項式 ,則下面諸結論等價:
友矩陣(a) 的次數為n;
友矩陣
友矩陣(b) = ;
(c)A是無損的;
友矩陣(d) 與P^(t)的友矩陣相似。

