名詞定義
中文名稱:
卟啉
英文名稱:
porphyrin
定義:
由四個吡咯環依次圍成的大環化合物。由於側鏈的差異而種類很多,如尿卟啉、糞卟啉和原卟啉等,分布甚廣。
套用學科:
生物化學與分子生物學(一級學科);新陳代謝(二級學科)
以上內容由全國科學技術名詞審定委員會審定公布
基本性質
通常卟啉分為兩類,第一類:脂溶性卟啉化合物,通常溶於有機溶劑,如氯仿, 二氯甲烷, 乙酸乙酯, 苯等脂溶性溶劑, 在石油醚, 正己烷等溶解度很小; 第二類: 水溶性卟啉化合物, 通常溶於水, 甲醇, 乙醇, 丙酮, 乙腈等親水性有機溶劑中. 卟啉化合物的熔點通常大於300度, 紫紅色固體粉末或結晶固體.具有一定的光敏性質,在紫外或可見光作用下,能有效釋放單線態氧.
合成信息
早期的卟啉是從含有卟啉化合物的天然產物中通過提取、分離、純化等方法得到的,如血紅素、葉綠素等。目前有兩種途徑得到目標卟啉分子:天然卟啉的結構修飾和卟啉化合物的全合成。天然卟啉的結構修飾雖然能很方便地進行結構的改造,但是受到結構本身的限制,同時外環官能基團的選擇上也十分有限,此外,也限制了卟啉化合物的本身生理活性。因此,通常人們需要通過全合成的辦法,來獲得具有特定生理活性和功能的卟啉分子。通過合成設計,獲取不同種類和功能的卟啉化合物推進了卟啉化學的發展,擴寬了其套用前景。卟啉的合成方法歸納如下:
1.單吡咯的四聚合成
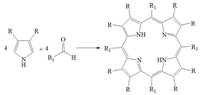
Alder-Longo法,用2,5-未取代的吡咯與提供橋聯亞甲基的醛反應,得到具有對稱性的卟啉,可用來合成meso-四取代的卟啉(如圖1)。當改變取代基R和R1的種類,調整醛和吡咯的比例,可以合成多種對稱和不對稱的卟啉。
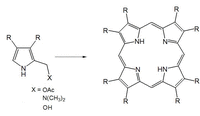
另一種單吡咯的四聚反應是以2-取代的吡咯為原料,能得到中心對稱的(二種不同的取代基位於交替位置)的卟啉,又稱為“head-to-tail”環縮合(如圖2)。
圖1 Alder-Longo法
卟啉圖2 head-to-tail環縮合
卟啉2.二吡咯中間體的縮合
Fischer法:1-bromo-9-methyldipyrromethenes在200°C的有機酸(通常是採用丙酸)中自聚得到較高產率的卟啉(如圖3)。
圖3 Fischer法
卟啉MacDonald法:1-unsubstituted-9-formyldipyrromethanes在酸催化劑(如氫碘酸或對甲基苯磺酸)下自聚(如圖4)。因為二吡咯甲烷較易製備,這種合成方法套用較多。
圖4 MacDonald法
卟啉3.“3+1”合成法
三吡咯化合物利用β-H和二甲醯基吡咯的醛基縮合(如圖5)得到目標分子。
圖5 3 +1 合成
卟啉4.線性四吡咯環化
以1-bromo-19-methyl-a,c-biladienes為中間體的環化(如圖6),直接縮合得到目標卟啉化合物。
圖6 線性四吡咯環化
卟啉其他信息
是卟吩的衍生物。例如血紅素是含鐵卟啉化合物,葉綠素是含鎂的卟啉化合物,維生素B12是含鈷的卟啉化合物,它們在生物體內都有重要的生理功能。
卟啉,英文名稱porphyrin.是生物體內的一種具有大共軛環狀結構的金屬有機化合物。卟吩是其前體,一分子卟吩結合一個金屬離子便形成卟啉。卟啉及其衍生化合物廣泛存在於生物體內和能量轉移的相關的重要細胞器內。在動物體內主要存在於血紅素(鐵卟啉)和血藍素(銅卟啉)中,在植物體內主要存在於維生素B12(鈷卟啉)和葉綠素(鎂卟啉)中,是血細胞載氧進行呼吸作用和植物細胞進行光和作用過程中的關鍵作用。因此,引起了化學家和生物學家的極大興趣,人們相信卟啉在能量轉移方面有著優異甚至神奇的作用。但卟啉也易因為某些原因在體內與其它物質化合而造成卟啉症,表現為皮炎、皮癬、老年斑等。卟啉化合物在高分子材料、化學催化、電至發光材料、分子靶向藥物等不同領域的各個方面都有很大套用,世界科學界乃至化工工程學界對卟啉的研究熱度正在逐年增加。
卟啉化合物廣泛存在於不同時代、不同成因的石油、瀝青等地質體中。
卟啉套用
(1)卟啉分子開關
分子開關是分子計算機的重要部件,它的主要優點就是組合密度高、回響速度快和能量效率高。
(2)模擬生物光合作用
卟啉化合物構成葉綠素等生物大分子的核心部分,參與植物光合作用等一系列重要過程。從80年代初開始,人們設計和合成了許多含有胡蘿蔔素、醌等官能團的卟啉類超分子體系來模擬和了解研究光合作用中心的光致電子轉移和能量轉移等過程,並取得了很大的進展。
(3)在太陽能電池中的套用
採用卟啉及其衍生物製備的有機太陽能電池主要有兩種:肖特基型和P-N異質結型。特基型太陽能電池的結構為:玻璃基片/電極/染料/電極;P-N異質結型太陽能電池的結構為:玻璃基片/銦-錫氧化物(ITO)/n-型染料/p-型染料/電極。
(4)在有機電致發光方面的套用
由於卟啉類材料具有獨特的光電特性,近年來,採用卟啉摻雜的發光材料成為有機電致發光材料新的研究熱點。卟啉化合物在溶液中具有強的螢光,但由於卟啉分子間容易聚集產生自身螢光猝滅,其固體的螢光很弱,量子效率低。因此採用單一的卟啉材料作為發光二極體很難實現。近年來,利用卟啉摻雜或高分子鏈中引入卟啉己成為有機電致發光材料的研究熱點,其主要存在形式為未配位的或與金屬配位的卟啉。
(5)在光存儲器件方面的套用
卟啉化合物在光存儲方面的套用涉及不多,主要是利用卟啉的特殊的光電特性設計新型光存儲器件或者改善和提高光存儲材料的性能。
(6)在光導材料方面的套用
有機光導(Organic Photoconductor,簡稱0PC)材料是一種倍受矚目的光電信息功能材料,是指在光的作用下,能引起光生載流子的形成並遷移的一類新型有機功能材料,作為感光器件已套用於靜電複印、全息照相、雷射列印等信息處理設備,成為當代信息社會不可缺少的重要支柱之一。對卟啉光導性能的研究已逐漸引起重視,但多數是研究卟啉對其他優良光導材料的摻雜作用。

