簡介
在數學中,勒讓德函式P,Q和相關的勒讓德函式P,Q是勒讓德多項式與非整數度的泛化。
微分方程
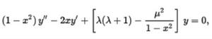
相關的勒讓德函式是勒讓德方程的解
勒讓德函式其中複數λ和μ分別稱為相關的勒讓德函式的度數和順序。 勒讓德多項式是階數μ= 0的勒讓德函式。
這是一個具有三個常規奇異點(在1,-1和∞)的二階線性方程。 像所有這樣的等式,它可以通過變數的變化被轉換為超幾何微分方程,並且其解可以用超幾何函式來表示。
公式
這些功能實際上可以用於一般複雜參數和參數:
勒讓德函式
勒讓德函式分母中包含伽馬函式,F是超幾何函式。
二階微分方程具有第二個解,其定義為Q(z)。
勒讓德P和Q函式之間有用的關係是Whipple的公式。
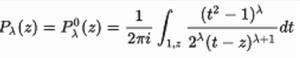
積分表示
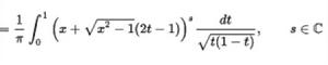
勒讓德函式可以寫成輪廓積分。 例如,
勒讓德函式其中輪廓沿正方向繞著點1和z旋轉,並且不繞-1。 對於真正的x,我們有
勒讓德函式
勒讓德函式勒讓德功能為字元
P的真實積分表示在L(G / / K)其中 G // K是SL(2,R)的雙陪集空間(見區域球面 功能)。 實際上,L(G / / K)上的傅立葉變換由
勒讓德函式其中,
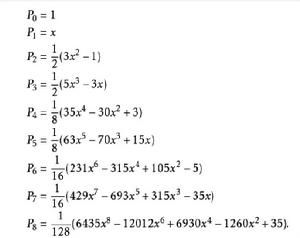
勒讓德函式勒讓德多項式
勒讓德多項式是下列勒讓德微分方程的多項式解:
其中n 為正整數。
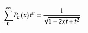
生成函式
勒讓德多項式的生產函式為
勒讓德函式前幾個勒讓德多項式:
勒讓德函式正交關係
勒讓德多項式在(-1,1)取決滿足如下的正交關係式:
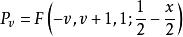
勒讓德函式第一類勒讓德函式
勒讓德函式其中F為超幾何函式,v非整數。如v為整數,則解為勒讓德多項式
第一類勒讓德函式2D圖
第一類勒讓德函式3D圖第二類勒讓德函式
勒讓德函式
第二類勒讓德函式2D圖
第二類勒讓德函式3D 圖
