簡介
剩餘標準差確定方式
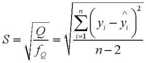
fQ為殘差自由度GB50021對剩餘標準差的規定:主要參數沿深度有相關性時,按下式確定剩餘標準差。
1
剩餘標準差,指的是統計學概念,用來表示預報值的精度,剩餘方差的算術平方根。
剩餘標準差
1。 (2)從統計模型復相關係數R和剩餘標準差S來看,考慮溫度影響所建立的統計模型復相關係數R,不考慮溫度影響時的R有所提高,剩餘標準差s則有所下降...
內容簡介 目錄 書摘)(5種);計算剩餘標準差;排列圖(自動檢索和排序);波動圖(單邊控制...
術語定義 什麼是過程能力指數 過程能力指數的計算公式 算法 指標剩餘標準差;排列圖(自動檢索和排序);波動圖(單邊控制...
概述 為什麼要進行能力分析? 過程能力指數的意義 過程性能和過程性能指數的相關係數,它越接近1,x和y的線性相關程度就越大。,稱為剩餘標準差,它越小...
正文 特點 分類 參考書目 配圖)(5種);計算剩餘標準差;排列圖(自動檢索和排序);波動圖(單邊控制...
簡介 算法 指標 用途 套用