適用條件
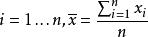
(1) 已知一個總體均數;
(2) 可得到一個樣本均數及該樣本標準差;
(3) 樣本來自正態或近似正態總體 。
主要分類
t檢驗可分為單總體檢驗和雙總體檢驗,以及配對樣本檢驗 。
單總體檢驗
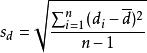
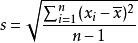
單總體t檢驗是檢驗一個樣本平均數與一個已知的總體平均數的差異是否顯著。當總體分布是常態分配,如總體標準差未知且樣本容量小於30,那么樣本平均數與總體平均數的離差統計量呈t分布。
單總體t檢驗統計量為:
t檢驗
t檢驗
t檢驗其中 為樣本平均數, 為樣本標準偏差, n為樣本數。該統計量 t在零假說: μ= μ為真的條件下服從自由度為 n−1的t分布。
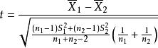
雙總體檢驗
雙總體t檢驗是檢驗兩個樣本平均數與其各自所代表的總體的差異是否顯著。雙總體t檢驗又分為兩種情況,一是獨立樣本t檢驗(各實驗處理組之間毫無相關存在,即為獨立樣本),該檢驗用於檢驗兩組非相關樣本被試所獲得的數據的差異性;一是配對樣本t檢驗,用於檢驗匹配而成的兩組被試獲得的數據或同組被試在不同條件下所獲得的數據的差異性,這兩種情況組成的樣本即為相關樣本。
(1)獨立樣本t檢驗統計量為:
t檢驗S 和 S 為兩樣本方差;n 和n 為兩樣本容量。
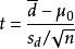
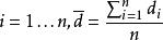
(2)配對樣本檢驗
配對樣本t檢驗可視為單樣本 t檢驗的擴展,不過檢驗的對象由一群來自常態分配獨立樣本更改為二群配對樣本之觀測值之差。若二配對樣本 x與 x之差為 d= x− x獨立,且來自常態分配,則 d之母體期望值 μ是否為 μ可利用以下統計量:
t檢驗
t檢驗
t檢驗其中 為配對樣本差值之平均數, 為配對樣本差值之標準偏差, n為配對樣本數。該統計量 t在零假說: μ= μ為真的條件下服從自由度為 n−1的t分布。
檢驗步驟
下面以一個實例的單總體t檢驗對t檢驗做一說明:
t檢驗問題:難產兒出生數n = 35,體重均值 = 3.42,S = 0.40,一般嬰兒出生體
圖1t界值表重 μ= 3.30(大規模調查獲得),問相同否?
解:
1.建立假設、確定檢驗水準α
H:μ = μ0 (零假設null hypothesis)
H:μ ≠ μ0(備擇假設alternative hypothesis)
雙側檢驗,檢驗水準:α=0.05
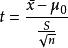
2.計算檢驗統計量
t檢驗
t檢驗
t檢驗3.查相應界值表,確定P值,下結論。
查附表(圖1),t= 2.032, t < t, P >0.05,按α=0.05水準,不拒絕H0,兩者的差別無統計學意義。
注意事項
1、選用的檢驗方法必須符合其適用條件(注意:t檢驗的前提:1.來自常態分配總體; 2.隨機樣本 ;3.均數比較時,要求兩樣本總體方差相等,即具有方差齊性) 。理論上,即使樣本量很小時,也可以進行t檢驗。(如樣本量為10,一些學者聲稱甚至更小的樣本也行),只要每組中變數呈常態分配,兩組方差不會明顯不同。如上所述,可以通過觀察數據的分布或進行正態性檢驗估計數據的正態假設。方差齊性的假設可進行F檢驗,或進行更有效的Levene's檢驗。如果不滿足這些條件,可以採用校正的t檢驗,或者換用非參數檢驗代替t檢驗進行兩組間均值的比較。
2、區分單側檢驗和雙側檢驗。單側檢驗的界值小於雙側檢驗的界值,因此更容易拒絕,犯第Ⅰ錯誤的可能性大 。t檢驗中的p值是接受兩均值存在差異這個假設可能犯錯的機率。在統計學上,當兩組觀察對象總體中的確不存在差別時,這個機率與我們拒絕了該假設有關。一些學者認為如果差異具有特定的方向性,我們只要考慮單側機率分布,將所得到t-檢驗的P值分為兩半。另一些學者則認為無論何種情況下都要報告標準的雙側t檢驗機率。
3、假設檢驗的結論不能絕對化 。當一個統計量的值落在臨界域內,這個統計量是統計上顯著的,這時拒絕虛擬假設。當一個統計量的值落在接受域中,這個檢驗是統計上不顯著的,這是不拒絕虛擬假設H。因為,其不顯著結果的原因有可能是樣本數量不夠拒絕H ,有可能犯第Ⅰ類錯誤。
4、正確理解P值與差別有無統計學意義 。P越小,不是說明實際差別越大,而是說越有理由拒絕H ,越有理由說明兩者有差異,差別有無統計學意義和有無專業上的實際意義並不完全相同。
5、假設檢驗和可信區間的關係結論具有一致性差異:提供的信息不同區間估計給出總體均值可能取值範圍,但不給出確切的機率值,假設檢驗可以給出H成立與否的機率 。
6、涉及多組間比較時,慎用t檢驗 。科研實踐中,經常需要進行兩組以上比較,或含有多個自變數並控制各個自變數單獨效應後的各組間的比較,(如性別、藥物類型與劑量),此時,需要用方差分析進行數據分析,方差分析被認為是T檢驗的推廣。在較為複雜的設計時,方差分析具有許多t-檢驗所不具備的優點。(進行多次的T檢驗進行比較設計中不同格子均值時)。
實現平台
大多數的試算表軟體及統計軟體都可以進行 t檢驗之運算,諸如QtiPlot、OpenOffice.org Calc、LibreOffice Calc、Microsoft Excel、SAS、SPSS、Stata、DAP、gretl、R、Python、PSPP、Minitab等 。
實用場景
•單樣本檢驗:檢驗一個常態分配的總體的均值是否在滿足零假設的值之內 。
•雙樣本檢驗:其零假設為兩個常態分配的總體的均值是相同的。這一檢驗通常被稱為學生t檢驗。但更為嚴格地說,只有兩個總體的方差是相等的情況下,才稱為學生t檢驗;否則,有時被稱為Welch檢驗。以上談到的檢驗一般被稱作“未配對”或“獨立樣本”t檢驗,我們特別是在兩個被檢驗的樣本沒有重疊部分時用到這種檢驗方式 。
•檢驗同一統計量的兩次測量值之間的差異是否為零。舉例來說,我們測量一位病人接受治療前和治療後的腫瘤尺寸大小。如果治療是有效的,我們可以推定多數病人接受治療後,腫瘤尺寸變小了。這種檢驗一般被稱作“配對”或者“重複測量”t檢驗。
•檢驗一條回歸線的斜率是否顯著不為零。
實用舉例
t檢驗可用於比較男女身高是否存在差別
為了進行獨立樣本t檢驗,需要一個自(分組)變數(如性別:男、女)與一個因變數(如身高測量值)。根據自變數的特定值,比較各組中因變數的均值。用t檢驗比較下列男、女兒童身高的均值 。
1、假設
H:男平均身高 = 女平均身高
H:男平均身高 ≠ 女平均身高
選用雙側檢驗:選用α=0.05的統計顯著水平 。
2、SPSS中的 數據的排列
| 被試者 | 性別 | 身高 |
| 對象1 對象2 對象3 對象4 對象5 | 男性 男性 男性 女性 女性 | 111 110 109 102 104 |
| 男性身高均數 = 110 ;女性身高均數 = 103 | ||
3、選擇SPSS中compare means選單, 獨立樣本, t-test。選擇雙側檢驗,以及統計顯著性水平α=0.05 運行 。
4、從輸出結果查看t檢驗的p值,是否達到顯著水平:是,接受H男平均身高與女平均身高不同;否,接受H,尚無證據支持男女身高差異 。

