Dunnett-t檢驗公式
Dunnett's t 檢驗
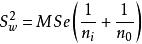
Dunnett's t 檢驗其中下標i 代表第i 組實驗組的數據(均值或是數據量);下標0 代表對照組的數據(均值或是數據量)
Mse代表均方誤差
適用於n-1個試驗組與一個對照組均數差別的多重比較,多用於證實性研究。
計算公式與偏eta方有類似之處
事後檢驗的一種,依次檢驗第i 組實驗組和對照組間的差別。 統計軟體一般能運行這種功能。
Dunnett-t檢驗公式
Dunnett's t 檢驗
Dunnett's t 檢驗其中下標i 代表第i 組實驗組的數據(均值或是數據量);下標0 代表對照組的數據(均值或是數據量)
Mse代表均方誤差
適用於n-1個試驗組與一個對照組均數差別的多重比較,多用於證實性研究。
計算公式與偏eta方有類似之處
