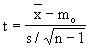
設x1,x2,……,xn是正態隨機變數X的一個小樣本,期望Mx等於某個已知值m0。根據統計理論,若假設成立時,統計量如右圖。服從自由度n—1的t—分布。預先給定信度α,查t—分布表,得tα,與計算的t值比較。若│t│
相關詞條
-
t—檢驗法
t—檢驗法 在小樣本(n
-
學生t檢驗
學生t檢驗(英語:Student's t-test)是指虛無假設成立時的任一檢定統計有學生t-分布的統計假說檢定,屬於母數統計。學生t檢驗常作為檢驗一群...
由來 套用 前提假設 電腦軟體 另請參閱 -
F—檢驗法
F—檢驗法是檢驗兩個正態隨機變數的總體方差是否相等的一種假設檢驗方法。設兩個隨機變數X、Y的樣本分別為X1,X2,……,Xn與Y1,Y2,……,Yn,其...
簡介 其他 -
Mann-Kendall趨勢檢驗法
世界氣象組織推薦並已廣泛套用的Mann-Kendall非參數統計方法,能有效區分某一自然過程是處於自然波動還是存在確定的變化趨勢。對於非常態分配的水文氣...
-
實用醫學檢驗學
《實用醫學檢驗學》是一本馬立人編制,由人民軍醫出版社在1992-11出版的書籍。
內容介紹 作品目錄 -
實用臨床檢驗手冊(第二版)
一般檢驗第一節 球菌的鑑定第一節 厭氧菌的檢驗第一節
作者介紹 作品目錄 -
《免疫學和免疫學檢驗》
《免疫學和免疫學檢驗》是陶義訓編著的醫學類作品,由人民衛生出版社在2002年3月出版。該書融基礎與實驗技術為一體,1989年第一版,受到醫學檢驗界同道和...
內容簡介 作品概述 作者簡介 內容提要 圖書特徵 -
協整檢驗
在巨觀經濟計量分析中,Granger(1987)所提出的協整方法已成為了分析非平穩經濟變數之間數量關係的最主要工具之一,且通過線性誤差修正模型(ECM)...
概述 目的 -
糧油檢驗小麥粉灰分含量測定近紅外法
《糧油檢驗 小麥粉灰分含量測定 近紅外法(GB/T 24872-2010)》修改採用AACC 08—21:2000小麥粉灰分含量的預測一近紅外方法(英文...
內容簡介 編輯推薦

