定義
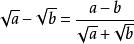
分子有理化對於只有兩項的根式,有
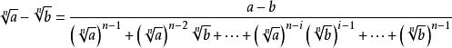
分子有理化一般的,我們有
舉例
比較√7 -√6與√6 -√5的大小
採取分子有理化
[(√7 -√6)*(√7 +√6)]/(√7+√6)
=1/(√7 +√6) (1)
[(√6 -√5)*(√6 +√5)]/(√6+√5)
=1/(√6 +√5) (2)
現在(1)(2)兩式分子相同,分母(1) 〉(2)
所以√7 -√6 <√6 -√5
作用
1、分子有理化可以通過統一分子,實現一些在標準形式下不易進行的大小比較,有時也可以大大簡化一些乘積運算。
2、高中數學用定義證明單調性
3、微積分極限的計算

