定義
分母有理化,簡稱 有理化,指的是將該原為無理數的分母化為有理數的過程,也就是將分母中的根號化去。有理化後通常方便運算,有理化的過程可能會影響分子,但分子及分母的比例不變。
單項式
套用一般根號運算:
分母有理化
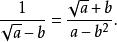
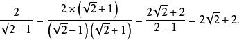
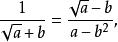
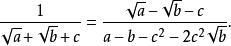
分母有理化二項式
套用平方差公式:
分母有理化
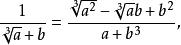
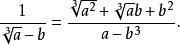
分母有理化套用立方和、立方差公式:
分母有理化
分母有理化多項式
逐項有理化
分母有理化輾轉相除法
分母有理化
分母有理化設 有理化
分母有理化
分母有理化
分母有理化待定係數法
分母有理化
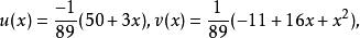
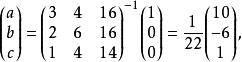
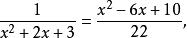
分母有理化,求
分母有理化設
分母有理化
分母有理化
分母有理化常規方法
下面介紹兩種分母有理化的常規方法,基本思路是把分子和分母都乘以同一個適當的代數式,使分母不含根號 。
分母是一個單項式
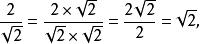
分母有理化例如二次根式 ,下面將之分母有理化:
分母有理化分子分母同時乘以√2,分母變為2,分子變為2√2,約分後,分數值為√2。在這裡我們想辦法把√2化為有理數,只要變為它的平方即可。
分母是一個多項式
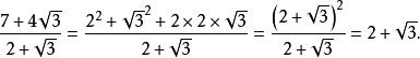
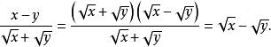
分母有理化再舉一個分母是多項式的例子,如 ,下面將之分母有理化:
分母有理化思路仍然是將分子分母同乘相同數。這裡使用平方差公式,同時乘上√2+1,分子變為2√2+2,分數值為2√2+2,再約分即可。也就是說,為了有理化多項式的分母,原來分母是減號,我們乘上一個數字相同但用加號連線的式子,再用平方差公式。
此方法可套用到根式大小比較中去。
特殊方法
下面有一些特殊的方法供參考!
分解約簡法
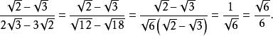
分母有理化將 分母有理化:
分母有理化這裡我們將分母分解因式後提取出來,這樣避免採用平方差公式分解。這種方法較適用於分子分母含有公因式時。
配方約簡法
分母有理化將 分母有理化:
分母有理化這裡我們將分子化成平方式,然後利用完全平方公式配方,再和分母約分,這樣避免採用平方差公式分解 。
注意事項
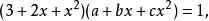
下面舉一個含參數的二次根式:
分母有理化將 分母有理化:
分母有理化
分母有理化
分母有理化在這裡我們將分子用平方差公式分解因式,然後分解!注意在這裡我們不能將分母乘以 ,因為 有可能等於0,若分情況討論又比較麻煩,此時我們就應該注意分子和分母的結構關係 !
拓展
有理化因式
例如:
將分子、分母同時乘以分母的有理化因式。
有理化因式舉例
如√a的有理化因式是正負√a,√a+√b的有理化因式是
√a-√b或√b-√a.

