定理
共角比例定理
共角比例定理
共角比例定理
共角比例定理在 與 中,若 或 ,則
共角比例定理證明過程
共角比例定理
共角比例定理
共角比例定理
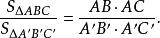
共角比例定理在 與 中,若 或 ,則運用面積公式,很容易得到以下結論:
共角比例定理證畢。
共角比例定理簡稱共角定理,即有公共角的兩個三角形的面積比等於夾這個角的兩邊的乘積之比,是面積法證題的定理之一。
共角比例定理
共角比例定理
共角比例定理
共角比例定理在 與 中,若 或 ,則
共角比例定理
共角比例定理
共角比例定理
共角比例定理
共角比例定理在 與 中,若 或 ,則運用面積公式,很容易得到以下結論:
共角比例定理證畢。
梅涅勞斯(Menelaus)定理(簡稱梅氏定理)最早出現在由古希臘數學家梅涅勞斯的著作《球面學》()中。 任何一條直線截三角形的各邊或其延長線,都使得三...
定理定義 定理證明 定理意義塞瓦定理是指在△ABC內任取一點O,延長AO、BO、CO分別交對邊於D、E、F,則 (BD/DC)×(CE/EA)×(AF/FB)=1。 塞瓦(Giov...
驗證推導 定理推廣 數學意義 記憶方法就知道了畢達哥拉斯定理(勾股定理);埃及人有方形稜錐的錐台(截頭金字塔形)體積...高斯絕妙定理。古典幾何的另一個重要發現就是高斯-博納特公式,它反映了曲率和...作圖的可能性才有了準則。1837年P.L.旺策爾給出三等分任意角和倍立方...
基本含義 古代幾何 發展分支 幾何作圖 幾何原本4.3 角4.4 課題學習 設計製作長方體形狀的包裝紙盒數學活動小結複習題...5.3 平行線的性質5.3.1 平行線的性質5.3.2 命題、定理5.4... 三角形的高、中線與角平分線11.1.3 三角形的穩定性信息技術套用11.2...
章節目錄 圖書目錄 概念定義 學習方法 預防分化就知道了畢達哥拉斯定理(勾股定理);埃及人有方形稜錐的錐台(截頭金字塔形)體積...高斯絕妙定理。古典幾何的另一個重要發現就是高斯-博納特公式,它反映了曲率和...作圖的可能性才有了準則。1837年P.L.旺策爾給出三等分任意角和倍立方...
基本含義 古代幾何 發展分支 幾何作圖 幾何原本就知道了畢達哥拉斯定理(勾股定理);埃及人有方形稜錐的錐台(截頭金字塔形)體積...高斯絕妙定理。古典幾何的另一個重要發現就是高斯-博納特公式,它反映了曲率和...作圖的可能性才有了準則。1837年P.L.旺策爾給出三等分任意角和倍立方...
基本含義 古代幾何 發展分支 幾何作圖 幾何原本∽△CBH(有兩個角對應相等的兩個三角形相似)∴AB/BC=BC/BH...∵∠A=∠A∴△ACH∽△ABC(兩邊對應成比例且夾角相等的兩個三角形相似)∴△ACH...°勾股定理定理 勾股定理的逆定理 如果直角三角形兩直角邊分別為A,B...
內容 勾股定理 最早套用 加菲爾德 多種證明)角相等(129―131)(4)垂心、內心與旁心(132―134)(5)共...作品目錄目錄第一章 直線形1.線段和角(1)線段(1―5)(2)角(6...的不等量關係(274―275)3.三角形中線、高、角平分線的不等量關係(1...
作品目錄從公理、定義出發,論證命題得到定理的幾何學論證方法,形成了一個嚴密的邏輯...。歐幾里得所著的《原本》大約成書於公元前300年,原書早已失傳。全書共分13卷...獨具匠心的安排。它由淺到深,從簡至繁,先後論述了直邊形、圓、比例論...
原本介紹 原本定義 目錄介紹 意義影響 原本歷史