內容
勾股定理的逆定理是判斷三角形為銳角或鈍角的一個簡單的方法。若c為最長邊,且a²+b²=c²,則△ABC是直角三角形。如果a²+b²>c²,則△ABC是銳角三角形。如果a²+b²
證法1
根據餘弦定理,在△ABC中,cosC=(a²+b²-c²)÷2ab。
由於a²+b²=c²,故cosC=0;
因為0°<∠C<180°,所以∠C=90°。(證畢)
證法2
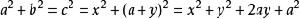
勾股定理的逆定理已知在△ABC中,
,求證∠C=90°
證明:作AH⊥BC於H
⑴若∠C為銳角,設BH=y,AH=x
得x²+y²=c²,
勾股定理的逆定理又∵
,
勾股定理的逆定理∴
(A)
勾股定理的逆定理但a>y,b>x,∴
(B)
(A)與(B)矛盾,∴∠C不為銳角
⑵若∠C為鈍角,設HC=y,AH=x
勾股定理的逆定理得
勾股定理的逆定理∵
,
勾股定理的逆定理得
2ay=0
∵a≠0,∴y=0
這與∠C是鈍角相矛盾,∴∠C不為鈍角
綜上所述,∠C必為直角
證法3
已知在△ABC中,a²+b²=c²,求證△ABC是直角三角形
證明:做任意一個Rt△A'B'C',使其直角邊B'C'=a,A'C'=b,∠C'=90°。設A'B'=c'
在Rt△A'B'C'中,由勾股定理得,A'B‘²=B'C'²+A'C'²=a²+b²=c’²
∵a²+b²=c²,∴c‘=c
在△ABC和A'B'C'中,∵AB=A'B',BC=B'C',AC=A'C',∴△ABC≌△A'B'C'
∴∠C=∠C'=90°
證法4
勾股定理的逆定理如圖,已知在△ABC中,設AB=c,AC=b,BC=a,且a²+b²=c²。求證∠ACB=90°
證明:在△ABC內部作一個∠HCB=∠A,使H在AB上。
∵∠B=∠B,∠A=∠HCB
∴△ABC∽△CBH(有兩個角對應相等的兩個三角形相似)
∴AB/BC=BC/BH,即BH=a²/c
而AH=AB-BH=c-a²/c=(c²-a²)/c=b²/c
∴AH/AC=(b²/c)/b=b/c=AC/AB
∵∠A=∠A
∴△ACH∽△ABC(兩邊對應成比例且夾角相等的兩個三角形相似)
∴△ACH∽△CBH(相似三角形的傳遞性)
∴∠AHC=∠CHB
∵∠AHC+∠CHB=∠AHB=180°
∴∠AHC=∠CHB=90°
∴∠ACB=∠AHC=90°
勾股定理
定理
勾股定理的逆定理如果直角三角形兩直角邊分別為A,B,斜邊為C,那么
; 即直角三角形兩直角邊長的平方和等於斜邊長的平方。古埃及人用這樣的方法畫直角。
勾股定理的逆定理如果三角形的三條邊A,B,C滿足
,還有變形公式:
,如:一條直角邊是a,另一條直角邊是b,如果a的平方與b的平方和等於斜邊c的平方那么這個三角形是直角三角形。(稱勾股定理的逆定理)
勾股定理的來源
畢達哥拉斯樹是一個基本的幾何定理,傳統上認為是由古希臘的畢達哥拉斯所證明。據說畢達哥拉斯證明了這個定理後,即斬了百頭牛作慶祝,因此又稱“百牛定理”。
在中國,《周髀算經》記載了勾股定理的公式與證明,相傳是在商代由商高發現,故又有稱之為商高定理;三國時代的趙爽對《周髀算經》內的勾股定理作出了詳細注釋,又給出了另外一個證明。法國和比利時稱為驢橋定理,埃及稱為埃及三角形。中國古代把直角三角形中較短的直角邊叫做勾,較長的直角邊叫做股,斜邊叫做弦。常用勾股數組(3,4,5);(6,8,10);(5,12,13);(8,15,17) ;(7,24,25) 有關勾股定理書籍 《數學原理》人民教育出版社 《探究勾股定理》同濟大學出版社 《優因培教數學》北京大學出版社 《勾股書籍》 新世紀出版社 《九章算術一書》 《優因培揭秘勾股定理》江西教育出版社 《幾何原本》 (原著:歐幾里得)人民日報出版社
畢達哥拉斯樹
畢達哥拉斯樹是由畢達哥拉斯根據勾股定理所畫出來的一個可以無限重複的圖形。又因為重複數次後 的形狀好似一棵樹,所以被稱為畢達哥拉斯樹。直角三角形兩個直角邊平方的和等於斜邊的平方。兩個相鄰的小正方形面積的和等於相鄰的一個大正方形的面積。利用不等式A2+B2≥2AB可以證明下面的結論:三個正方形之間的三角形,其面積小於等於大正方形面積的四分之一,大於等於一個小正方形面積的二分之
常見的勾股數
| 勾 | 股 | 弦 |
| 3K | 4K | 5K |
| 6K | 8K | 10K |
| 5K | 12K | 13K |
| 7K | 24K | 25K |
| 8K | 15K | 17K |
| 9K | 40K | 41K |
| ...... | ...... | ...... |
註:3K,4K,5K即3,4,5的同一倍數勾股數A=s2-t2 B=2st C=s2+t2 其中s>t,且s,t為正整數。
勾股弦的比例
勾股定理的逆定理(一個銳角為30°的直角三角形)
(等腰直角三角形)
最早套用
從很多泥板記載表明,巴比倫人是世界上最早發現“勾股定理”的,這裡只舉一例。例如公元前1700年的一塊泥板(編號為BM85196)上第九題,大意為“有一根長為5米的木樑(AB)豎直靠在牆上,上端(A)下滑一米至D。問下端(C)離牆根(B)多遠?”他們解此題就是用了勾股定理,如圖 設AB=CD=l=5米,BC=a,AD=h=1米,則BD=l-h=5-1米=4米 ∵a=√[l2-(l-h)2]=√[52-(5-1)2]=3米,∴三角形BDC正是以3、4、5為邊的勾股三角形。《周髀算經》中勾股定理的公式與證明《周髀算經》算經十書之一。約成書於公元前二世紀,原名《周髀》,它是中國最古老的天文學著作,主要闡明當時的蓋天說和四分曆法。唐初規定它為國子監明算科的教材之一,故改名《周髀算經》。首先,《周髀算經》中明確記載了勾股定理的公式:“若求邪至日者,以日下為句,日高為股,句股各自乘,並而開方除之,得邪至日”(《周髀算經》上卷二) 而勾股定理的證明呢,就在《周髀算經》上卷一—— 昔者周公問於商高曰:“竊聞乎大夫善數也,請問昔者包犧立周天曆度——夫天可不階而升,地不可得尺寸而度,請問數安從出?” 商高曰:“數之法出於圓方,圓出於方,方出於矩,矩出於九九八十一。故折矩,以為句廣三,股修四,徑隅五。既方之,外半其一矩,環而共盤,得成三四五。兩矩共長二十有五,是謂積矩。故禹之所以治天下者,此數之所生也。”周公對古代伏羲(包犧)構造周天曆度的事跡感到不可思議(天不可階而升,地不可得尺寸而度),就請教商高數學知識從何而來。於是商高以勾股定理的證明為例,解釋數學知識的由來。 《周髀算經》證明步驟
“數之法出於圓方,圓出於方,方出於矩,矩出於九九八十一。”:解釋發展脈絡——數之法出於圓(圓周率三)方(四方),圓出於方(圓形面積=外接正方形*圓周率/4),方出於矩(正方形源自兩邊相等的矩),矩出於九九八十一(長乘寬面積計算依自九九乘法表)。“故折矩①,以為句廣三,股修四,徑隅五。”:開始做圖——選擇一個 勾三(圓周率三)、股四(四方) 的矩,矩的兩條邊終點的連線應為5(徑隅五)。“②既方之,外半其一矩,環而共盤,得成三四五。”:這就是關鍵的證明過程——以矩的兩條邊畫正方形(勾方、股方),根據矩的弦外面再畫一個矩(曲尺,實際上用作直角三角),將“外半其一矩”得到的三角形剪下環繞複製形成一個大正方形,可看到其中有 邊長三勾方、邊長四股方、邊長五弦方 三個正方形。“兩矩共長③二十有五,是謂積矩。”:此為驗算——勾方、股方的面積之和,與弦方的面積二十五相等——從圖形上來看,大正方形減去四個三角形面積後為弦方,再是 大正方形 減去 右上、左下兩個長方形面積後為 勾方股方之和。因三角形為長方形面積的一半,可推出 四個三角形面積 等於 右上、左下兩個長方形面積,所以 勾方+股方=弦方。注意:① 矩,又稱曲尺,L型的木匠工具,由長短兩根木條組成的直角。古代“矩”指L型曲尺,“矩形”才是“矩”衍生的長方形。② “既方之,外半其一矩”此句有爭議。清代四庫全書版定為“既方其外半之一矩”,而之前版本多為“既方之外半其一矩”。經陳良佐、李國偉、李繼閔、曲安京等學者研究,“既方之,外半其一矩”更符合邏輯。③ 長指的是面積。古代對不同維度的量綱比較,並沒有發明新的術語,而統稱“長”。趙爽注稱:“兩矩者, 句股各自乘之實。共長者,並實之數。由於年代久遠,周公弦圖失傳,傳世版本只印了趙爽弦圖(造紙術在漢代才發明)。所以某些學者誤以為商高沒有證明(只是說了一段莫名其妙的話),後來趙爽才給出證明。其實不然,摘錄趙爽注釋《周髀算經》時所做的《句股圓方圖》——“句股各自乘, 並之為弦實,開方除之即弦。案:弦圖又可以句股相乘為朱實二, 倍之為朱實四,以句股之差自相乘為中黃實, 加差實亦成弦實。” 趙爽弦圖
注意“案”中的“弦圖又可以”、“亦成弦實”,“又”“亦”二字表示趙爽認為勾股定理還可以用另一種方法證明,於是他給出了新的證明。下為趙爽證明—— 青朱出入圖
三角形為直角三角形,以勾a為邊的正方形為朱方,以股b為邊的正方形為青方。以盈補虛,將朱方、青方並成弦方。依其面積關係有A2+B2=C2.由於朱方、青方各有一部分在玄方內,那一部分就不動了。以勾為邊的的正方形為朱方,以股為邊的正方形為青方。以盈補虛,只要把圖中朱方(A2)的I移至I′,青方的Ⅱ移至Ⅱ′,Ⅲ移至Ⅲ′,則剛好拼好一個以弦為邊長的正方形(C……2).由此便可證得a2+b2=c2。
多種證明
這個定理有許多證明的方法,其證明的方法可能是數學眾多定理中最多的。路明思(Elisha Scott Loomis)的Pythagorean Proposition(《畢達哥拉斯命題》)一書中總共提到367種證明方式。有人會嘗試以三角恆等式(例如:正弦和餘弦函式的泰勒級數)來證明勾股定理,但是,因為所有的基本三角恆等式都是建基於勾股定理,所以不能作為勾股定理的證明(參見循環論證)。
證法1
作四個全等的直角三角形,把它們拼成如圖那樣的一個多邊形,使D、E、F在一條直線上(設它們的兩條直角邊長分別為a、b ,斜邊長為c.)。過點C作AC的延長線交DF於點P.
∵ D、E、F在一條直線上, 且RtΔGEF ≌ RtΔEBD,
∴ ∠EGF = ∠BED,
∵ ∠EGF + ∠GEF = 90°,
∴ ∠BED + ∠GEF = 90°,
∴ ∠BEG =180°―90°= 90°
又∵ AB = BE = EG = GA = c,
∴ ABEG是一個邊長為c的正方形。
∴ ∠ABC + ∠CBE = 90°
∵ RtΔABC ≌ RtΔEBD,
∴ ∠ABC = ∠EBD.
∴ ∠EBD + ∠CBE = 90° 即 ∠CBD= 90°
又∵ ∠BDE = 90°,∠BCP = 90°, BC = BD = a.
∴ BDPC是一個邊長為a的正方形。
勾股定理的逆定理同理,HPFG是一個邊長為b的正方形. 設多邊形GHCBE的面積為S,則
證法2
作兩個全等的直角三角形,設它們的兩條直角邊長分別為a、b(b>a) ,做一個邊長為c的正方形。斜邊長為c. 再把它們拼成如圖所示的多邊形,使E、A、C三點在一條直線上. 過點Q作QP∥BC,交AC於點P. 過點B作BM⊥PQ,垂足為M;再過點 F作FN⊥PQ,垂足為N.
∵ ∠BCA = 90°,QP∥BC,
∴ ∠MPC = 90°,
∵ BM⊥PQ,
∴ ∠BMP = 90°,
∴ BCPM是一個矩形,即∠MBC = 90°。
∵ ∠QBM + ∠MBA = ∠QBA = 90°, ∠ABC + ∠MBA = ∠MBC = 90°,
∴ ∠,
又∵ ∠BMP = 90°,∠BCA = 90°,BQ = BA = c,
勾股定理的逆定理∴ RtΔBMQ ≌ RtΔBCA. 同理可證RtΔQNF ≌ RtΔAEF.即
證法3
作兩個全等的直角三角形,同證法2,再作一個邊長為c的正方形。把它們拼成如圖所示的多邊形. 分別以CF,AE為邊長做正方形FCJI和AEIG,
∵EF=DF-DE=b-a,EI=b,
∴FI=a,
∴G,I,J在同一直線上,
∵CJ=CF=a,CB=CD=c, ∠CJB = ∠CFD = 90°,
∴RtΔCJB ≌ RtΔCFD , 同理,RtΔABG ≌ RtΔADE,
∴RtΔCJB ≌ RtΔCFD ≌ RtΔABG ≌ RtΔADE
∴∠ABG = ∠BCJ,
∵∠BCJ +∠CBJ= 90°,
∴∠ABG +∠CBJ= 90°,
∵∠ABC= 90°,
勾股定理的逆定理∴G,B,I,J在同一直線上,
。
證法4
作三個邊長分別為a、b、c的三角形,把它們拼成如圖所示形狀,使H、C、B三點在一條直線上,連結 BF、CD. 過C作CL⊥DE, 交AB於點M,交DE於點L.
∵ AF = AC,AB = AD, ∠FAB = ∠GAD,
∴ ΔFAB ≌ ΔGAD,
∵ ΔFAB的面積等於, ΔGAD的面積等於矩形ADLM 的面積的一半,
∴ 矩形ADLM的面積 =. 同理可證,矩形MLEB的面積 =.
∵ 正方形ADEB的面積 = 矩形ADLM的面積 + 矩形MLEB的面積
勾股定理的逆定理∴ 即
證法5
《幾何原本》中的證明 在歐幾里得的《幾何原本》一書中提出勾股定理由以下證明後可成立。設△ABC為一直角三角形,其中A為直角。從A點劃一直線至對邊,使其垂直於對邊上的正方形。此線把對邊上的正方形一分為二,其面積分別與其餘兩個正方形相等。在正式的證明中,我們需要四個輔助定理如下:如果兩個三角形有兩組對應邊和這兩組邊所夾的角相等,則兩三角形全等。(SAS定理) 三角形面積是任一同底同高之平行四邊形面積的一半。任意一個正方形的面積等於其二邊長的乘積。任意一個四方形的面積等於其二邊長的乘積(據輔助定理3)。證明的概念為:把上方的兩個正方形轉換成兩個同等面積的平行四邊形,再鏇轉並轉換成下方的兩個同等面積的長方形。其證明如下:設△ABC為一直角三角形,其直角為CAB。其邊為BC、AB、和CA,依序繪成四方形CBDE、BAGF和ACIH。畫出過點A之BD、CE的平行線。此線將分別與BC和DE直角相交於K、L。分別連線CF、AD,形成兩個三角形BCF、BDA。∠CAB和∠BAG都是直角,因此C、A 和 G 都是線性對應的,同理可證B、A和H。∠CBD和∠FBA皆為直角,所以∠ABD等於∠FBC。因為 AB 和 BD 分別等於 FB 和 BC,所以△ABD 必須相等於△FBC。因為 A 與 K 和 L是線性對應的,所以四方形 BDLK 必須二倍面積於△ABD。因為C、A和G有共同線性,所以正方形BAGF必須二倍面積於△FBC。因此四邊形 BDLK 必須有相同的面積 BAGF = AB²;。同理可證,四邊形 CKLE 必須有相同的面積 ACIH = AC2;。把這兩個結果相加, AB2;+ AC2;; = BD×BK + KL×KC。由於BD=KL,BD×BK + KL×KC = BD(BK + KC) = BD×BC 由於CBDE是個正方形,因此AB2;+ AC2;= BC2;。此證明是於歐幾里得《幾何原本》一書第1.47節所提出的
證法6(歐幾里得(Euclid)射影定理證法)
如圖1,Rt△ABC中,∠ABC=90°,BD是斜邊AC上的高 通過證明三角形相似則有射影定理如下:
⑴(BD)2;=AD·DC,
⑵(AB)2;=AD·AC ,
⑶(BC)2;=CD·AC。由公式⑵+⑶得:(AB)2;+(BC)2;=AD·AC+CD·AC =(AD+CD)·AC=(AC)2;, 圖1即 (AB)2;+(BC)2;=(AC)2,這就是勾股定理的結論。 圖1
證法7
在這幅“勾股圓方圖”中,以弦為邊長得到正方形ABDE是由4個相等的直角三角形再加上中間的那個小正方形組成的。每個直角三角形的面積為ab/2;中間懂得小正方形邊長為b-a,則面積為(b-a)2。於是便可得如下的式子:4×(ab/2)+(b-a)2;=c2; 化簡後便可得:a2;+b2;=c2; 亦即:c=(a2;+b2;)1/2 勾股定理的別名 勾股定理,是幾何學中一顆光彩奪目的明珠,被稱為“幾何學的基石”,而且在高等數學和其他學科中也有著極為廣泛的套用。正因為這樣,世界上幾個文明古國都已發現並且進行了廣泛深入的研究,因此有許多名稱。中國是發現和研究勾股定理最古老的國家之一。中國古代數學家稱直角三角形為勾股形,較短的直角邊稱為勾,另一直角邊稱為股,斜邊稱為弦,所以勾股定理也稱為勾股弦定理。在公元前1000多年,據記載,商高(約公元前1120年)答周公曰“故折矩,以為句廣三,股修四,徑隅五。既方之,外半其一矩,環而共盤,得成三四五。兩矩共長二十有五,是謂積矩。”因此,勾股定理在中國又稱“商高定理”。在公元前7至6世紀一中國學者陳子,曾經給出過任意直角三角形的三邊關係即“以日下為勾,日高為股,勾、股各乘並開方除之得邪至日。在法國和比利時,勾股定理又叫“驢橋定理”。還有的國家稱勾股定理為“平方定理”。在陳子後一二百年,希臘的著名數學家畢達哥拉斯發現了這個定理,因此世界上許多國家都稱勾股定理為“畢達哥拉斯”定理。為了慶祝這一定理的發現,畢達哥拉斯學派殺了一百頭牛酬謝供奉神靈,因此這個定理又有人叫做“百牛定理”. 前任美國第二十屆總統伽菲爾德證明了勾股定理(1876年4月1日)。
1 周髀算經, 文物出版社,1980年3月, 據宋代嘉定六年本影印,1-5頁。
2. 陳良佐:周髀算經勾股定理的證明與出入相補原理的關係。刊於《漢學研究》, 1989年第7卷第1期,255-281頁。
3. 李國偉: 論「周髀算經」“商高曰數之法出於圓方”章。刊於《第二屆科學史研討會彙刊》, 台灣,1991年7月, 227-234頁。
4. 李繼閔:商高定理辨證。刊於《自然科學史研究》,1993年第12卷第1期,29-41頁。
5. 曲安京: 商高、趙爽與劉徽關於勾股定理的證明。刊於《數學傳播》20卷, 台灣,1996年9月第3期, 20-27頁
證法8
達文西的證法
三張紙片其實是同一張紙,把它撕開重新拼湊之後,中間那個“洞”的面積前後仍然是一樣的,但是面積的表達式卻不再相同,讓這兩個形式不同的表達式相等,就能得出一個新的關係式——勾股定理,所有勾股定理的證明方法都有這么個共同點。觀察紙片一,因為要證的是勾股定理,那么容易知道EB⊥CF,又因為紙片的兩邊是對稱的,所以能夠知道四邊形ABOF和CDEO都是正方形。然後需要知道的是角A'和角D'都是直角,原因嘛,可以看紙片一,連結AD,因為對稱的緣故,所以∠BAD=∠FAD=∠CDA=∠EDA=45°,那么很明顯,圖三中角A'和角D'都是直角。
證明:第一張中多邊形ABCDEF的面積S1=S正方形ABOF+S正方形CDEO+2S△BCO=OF2+OE2+OF·OE 第三張中多邊形A'B'C'D'E'F'的面積S2=S正方形B'C'E'F'+2△C'D'E'=E'F'2+C'D'·D'E' 因為S1=S2
所以OF2+OE2+OF·OE=E'F'2+C'D'·D'E'
又因為C'D'=CD=OE,D'E'=AF=OF
所以OF2+OE2=E'F'2
因為E'F'=EF
所以OF2+OE2=EF2 勾股定理得證。
證法9
從這張圖可以得到一個矩形和三個三角形,推導公式如下:
b (a + b)= 1/2c2; + ab + 1/2(b + a)(b - a) 矩形面積 =(中間三角形)+(下方)2個直角三角形+(上方)1個直 角三角形。(簡化) 2ab + 2b2;= c2; + b2;- a2;+ 2ab 2b2; - b2;+ a2;= c2; a2; + b2;= c2;
註:根據加菲爾德圖進一步得到的圖形。

