定義
設A=(a)是n階方陣,由行列式|A|中的每個元素a的代數餘子式A所構成的矩陣
伴隨陣稱為矩陣A的伴隨矩陣。
註:伴隨矩陣A*在位置(i,j)上的元素是矩陣A在位置(j,i)上的代數餘子式。
伴隨陣
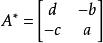
伴隨陣例如,的伴隨矩陣是。
伴隨矩陣的性質
由伴隨矩陣的定義及轉置矩陣的定義,很容易得到下面的性質:
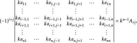
伴隨陣其中,A 表示矩陣A的轉置矩陣。由於矩陣kA的(i,j)元的代數餘子式為:
伴隨陣
伴隨陣因此,
伴隨陣由伴隨矩陣的定義及矩陣的乘法運算馬上有下面的性質成立:
其中E為n階單位矩陣。
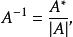
若n階方陣A是非奇異的,即|A|≠0,此時矩陣A是可逆的。由(1)得
伴隨陣
伴隨陣結合逆矩陣的定義,有其中A 表示矩陣A的逆矩陣。
伴隨矩陣的求法:
主對角元素是將原矩陣該元素所在行列去掉再求行列式;
非主對角元素,是原矩陣該元素的共軛位置的元素去掉所在行列求行列式乘以(-1)^(x+y),x,y為該元素的共軛位置的元素的行和列的序號,序號從1開始的。
主對角元素實際上是非主對角元素的特殊情況,因為x=y,所以(-1)^(x+y)=(-1)^(2x)=1,一直是正數,沒必要考慮主對角元素的符號問題。

