簡介
亨得里克·洛侖茲(HendrikAntoonLorentz,1853年7月18日-1928年2月4日),荷蘭著名物理學家。
亨德里克·洛侖茲洛侖茲1853年7月18日出生於荷蘭阿納姆附近。1870年考入萊頓大學學習數學和物理學。1875年獲得博士學位。25歲起任萊頓大學理論物理學教授。
1928年2月4日,洛倫茲在哈勒姆逝世。在葬禮當天,荷蘭全國電訊、電話中止3分鐘,以哀悼位享有盛譽的科學家。愛因斯坦在悼詞中稱洛倫茲是“我們時代最偉大、最高尚的人。”為紀念洛侖茲的貢獻,荷蘭政府決定從1945年起把每年他的生日那天定為“洛侖茲節”。
發明生涯
1880年洛侖茲以很高的精度測定了熱功當量,得到的結果是426.2kg*m/kcal。1881年他根據霍耳效應解釋了磁致鏇光現象,推導出羅蘭磁致鏇光方程與麥克斯韋鏇光方程等價。洛侖茲最重要的貢獻是補充和發展了經典電磁理論。
1896年創立了經典電子論,很好地解釋了物質中的一系列電磁現象以及物質在電磁場中運動的一些效應。
亨德里克·洛侖茲1896年洛侖茲的學生塞曼發現了原子光譜在磁場中的分裂現象,即塞曼效應。隨後洛侖茲利用經典電磁理論解釋了正常塞曼效應。由於在磁光效應方面的發現,洛侖茲與塞曼共同獲得1902年的諾貝爾物理學獎。除此之外,洛侖茲還確定了電子在磁場中所受的力,即“洛侖茲力”。為解釋麥可遜-莫雷實驗的結果,1904年洛侖茲提出了洛侖茲變換和質量與速度關係式,使麥克斯韋方程組從一個慣性系變換到另一個慣性系時能夠保持不變,為愛因斯坦創立狹義相對論奠定了基礎。
成就-洛化茲力
洛侖茲力是一個帶電粒子在一個電磁場中移動所受的力,它的表達式是由洛侖茲確定的,被命名為洛侖茲力。
洛侖茲力的表達式為:
(圖)亨德里克·洛侖茲積分形式為:
(圖)亨德里克·洛侖茲經常使用的還有洛侖茲力密度的表達式:
(圖)亨德里克·洛侖茲其中:F是洛侖茲力,f是洛侖茲力密度
q是粒子的電荷,ρ是空間中的體電荷密度
E是電場強度
B是磁通密度
v是粒子的速度
J是電流面密度
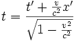
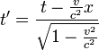
成就-洛侖茲變換
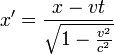
洛侖茲提出洛侖茲變換是基於以太存在的前提的,然而以太被證實是不存在的,根據光速不變原理,相對於任何慣性參照系,光速都具有相同的數值。愛因斯坦據此提出了狹義相對論。在狹義相對論中,空間和時間並不相互獨立,而是一個統一的四維時空整體,不同慣性參照系之間的變換關係式與洛侖茲變換在數學表達式上是一致的,即:
(圖)亨德里克·洛侖茲y'=y
z'=z
(圖)亨德里克·洛侖茲其中x、y、z、t分別是慣性坐標系Σ下的坐標和時間,x'、y'、z'、t'分別是慣性坐標系Σ'下的坐標和時間。v是Σ'坐標系相對於Σ坐標系的運動速度,方向沿x軸。
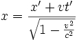
由狹義相對性原理,只需在上述洛侖茲變換中把v變成-v,x'、y'、z'、t'分別與x、y、z、t互換,就得到洛侖茲變換的反變換式:
(圖)亨德里克·洛侖茲y=y'
z=z'
(圖)亨德里克·洛侖茲洛侖茲變換是高速運動的巨觀物體在不同慣性參照系之間進行坐標和時間變換的基本規律。當相對速度v遠遠小於光速c時,洛侖茲變換退化為經典力學中的伽利略變換:
x'=x-vt
y'=y
z'=z
t'=t
所以,狹義相對論與經典力學並不矛盾,狹義相對論將經典力學擴展到了巨觀物體在一切運動速度下的普遍情況,經典力學只是相對論在低速時(v遠遠小於c)的近似情況。一般在處理運動速度不太高的物體時(如天體力學中計算行星的運行軌道),不需考慮到相對論效應,因為用相對論進行處理時計算往往變得非常繁瑣,而結果與經典情況相差不大。當處理高速運動的物理時,比如高能加速器中的電子,則必須要考慮相對論效應對結果帶來的修正。
洛侖茲變換的四維形式
在狹義相對論中,某一事件可以用帶有四個參數的時空坐標(x、y、z、t)來描述,洛侖茲變換就是在不同慣性參考系中觀察同一事件的時空坐標變換關係,並且是滿足四維空間中間隔(s2=c2t2-x2-y2-z2)不變的變換。如果將x、y、z記成x1、x2、x3,並且引入虛數坐標,令:x4=ict
那么洛侖茲變換可以寫成如下的矩陣形式:
(圖)亨德里克·洛侖茲其中
(圖)亨德里克·洛侖茲稱為洛侖茲因子。
洛侖茲變換的推論
由洛侖茲變換可以得到相對論的速度變換公式。設ux、uy、uz分別是物體在慣性坐標系Σ下沿各坐標軸的速度分量,u'x、u'y、u'z分別是物體在慣性坐標系Σ'下沿各坐標軸的速度分量,那么:
(圖)亨德里克·洛侖茲
(圖)亨德里克·洛侖茲
(圖)亨德里克·洛侖茲如果把v變成-v,ux、uy、uz分別與u'x、u'y、u'z互換,就得到上述速度變換的反變換式。
當速度v遠小於光速時,上述速度變換式退化為經典的速度變換式:
u'x=ux−v
u'y=uy
u'z=uz
相關參考:
http://55ad36220d7a17e57ac56ab72fd2c1f2.zh.arigva.info/zh/%E4%BA%A8%E5%BE%B7%E9%87%8C%E5%85%8B%C2%B7%E6%B4%9B%E4%BE%96%E8%8C%B2
