定義
當線圈1中的電流變化時所激發的變化磁場,會在它相鄰的另一線圈2中產生感應電動勢;同樣,線圈2中上的電流變化時,也會線上圈1中產生感應電動勢。這種現象稱為互感現象,所產生的感應電動勢稱為互感電動勢。
推導
互感係數
互感係數
互感係數設線圈1所激發的磁場通過線圈2的磁通匝鏈數 ,按照畢奧-薩伐爾定 與線圈1中的電流 12成正比
互感係數
互感係數(2.10);
互感係數同理,設線圈2激發的磁場通過線圈1的磁通匝鏈數為 ,有
互感係數(2.11);
互感係數式(2.10)和(2.11)中的 是比例係數,它們由線圈的幾何形狀、大小、匝數以及線圈之間的相對位置所決定,而與線圈中的電流無關。
互感係數
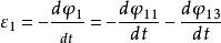
互感係數當線圈1中的電流強度 12 改變時,通過線圈2的磁通匝鏈數將發生變化。按照法拉第定律,線上圈2中產生的感應電動勢為:
互感係數(2.12);
互感係數同理線圈2中的電流強度 21 改變時,線圈1中產生的感應電動勢為:
互感係數(2.13);
由此兩式可以看出,比例係數 越大,互感電動勢則越大,互感現象越強。 稱為互感係數,簡稱互感。
理論上和實驗中都證明M12和M21 相等,一般用M來表示,
而不再去區分它是哪一個線圈對哪一個線圈的互感係數。因此,在兩個具有互感的線圈中。若線圈中的電流變化率相同,則分別在另一線圈中產生相等的感應電動勢。

