概念
兩個彼此靠近或繞在同一鐵芯上的線圈,當流 過第一個線圈的電流發生變化時,產生的變化磁通量,通過第二 個線圈,如圖1-1所示,在第二個線圈中便會引起感應電動勢,這稱為互感電動勢。這種現象稱為互感現象。
互感電動勢性質
互感電動勢與電流變化的線圈的 電流變化快慢有關,也與線圈之間的 結構和 相對位置有關。
設兩個靠得很近的線圈,當第一個線圈的電流 i1發生變化時,將在第二個線圈中產生互感電動勢 EM2,根據電磁感應定律,可得:線圈中的互感電動勢,與互感係數和另一線圈中電流的變化率的乘積成正比。
互感電動勢的方向,可用 法拉第電磁感應定律來判斷。
互感現象在電工和電子技術中套用非常廣泛,如電源變壓器,電流互感器、電壓互感器和中周變壓器等都是根據互感原理工作的。
互感現象
互感現象是指二相鄰線圈中,一個線圈的電流隨時間變化時導致穿過另一線圈的磁通量發生變化,而在該線圈中出現感應電動勢的現象。
1838年亨利做了關於不同等級感應電流的實驗,這些實驗都屬於互感實驗。以電流感應電流是法拉第觀察到的。引起感應電流的那個電流稱為原電流,感應電流稱為次級電流。由於法拉第的次級電流是瞬時的,所以它也可以在第三個線圈中引起感應電流。
電動勢
電動勢是反映電源把其他形式的能轉換成電能的本領的物理量。電動勢使電源兩端產生電壓。在電路中,電動勢常用E表示。單位是伏(V)。
在電源內部,非靜電力把正電荷從負極板移到正極板時要對電荷做功,這個做功的物理過程是產生電源電動勢的本質。非靜電力所做的功,反映了其他形式的能量有多少變成了電能。因此在電源內部,非靜電力做功的過程是能量相互轉化的過程。
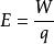
互感電動勢電動勢的大小等於非靜電力把單位正電荷從電源的負極,經過電源內部移到電源正極所作的功。如設 W為電源中非靜電力(電源力)把正電荷量 q從負極經過電源內部移送到電源正極所作的功跟被移送的電荷量的比值,則電動勢大小為:。如:電動勢為6伏說明電源把1庫正電荷從負極經內電路移動到正極時非靜電力做功6焦。有6焦的其他其形式能轉換為電能。
電動勢的方向規定為從電源的負極經過電源內部指向電源的正極,即與電源兩端電壓的方向相反。
相較區別
互感電動勢與互感係數
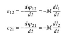
互感現象中的感應電動勢稱為互感電動勢。當兩個線圈的電流可以相互提供磁通時,就說他們之間存在互感耦合,或簡單說成存在互感。設線圈1、2是存在互感耦合的兩個線圈。令ψ12表示線圈1中電流I1產生的磁場對線圈2提供的磁通匝鏈數。ψ12=N2φ12,式中N2為線圈2的匝數,φ12為I1產生的磁場對線圈2中每一匝提供的磁通。同理,ψ21為線圈2中電流I2產生的磁場對線圈1提供的磁通匝鏈數。ψ21=N1φ21。理論表明ψ12與I1成正比,ψ21與I2成正比,其比例係數稱為兩個線圈間的互感係數。簡稱互感。其數學表述為M12=ψ12/I1,M21=ψ21/I2。可以證明M12=M21=M,所以一般互感係數用M表示。互感係數在數值上等於一個線圈中電流為1安培時對另一線圈所提供的磁通匝鏈數。在沒有鐵心的情況下,互感係數與電流無關,只由兩個線圈的形狀、匝數、相對位置決定。互感電動勢可表示為:
互感電動勢由上二式可知,互感係數也可以這樣定義:一個線圈中的互感電動勢與另一線圈中的電流變化率成正比,比例係數就是互感係數。數學表述為M=-ε12/(dI1/dt)。M在數值上等於一個線圈中每秒電流變化1安培時在另一線圈中所引起的互感電動勢的大小。互感係數表示兩個線圈間互感耦合的強弱。互感係數與自感係數有相同的單位。M的國際制單位叫亨利,1亨利=1韋伯/安培。兩個線圈間的互感係數一般由實驗測定,只有在簡單情況下才可由定義計算。
套用
互感現象在電工、電子技術中套用很廣。例如變壓器就是套用兩個線圈間存在互感耦合製成的。實驗室中常用的感應圈也是利用互感現象獲得高壓的。有時互感現象也有不利影響,為此實際中總是採取措施消除這種影響。例如可在電子儀器中,把易產生互感耦合的元件採取遠離、調整方位或磁禁止等方法來避免元件間的互感影響。
變壓器是互感現象最典型的套用,它由初級線圈N1、次級線圈N2和鐵芯所組成。它可以起到升高電壓或者降低電壓的作用,還可以把交變信號由一個電路傳遞到另一個電路。但是互感現象也會帶來危害,電子裝置內部往往由於導線或器件之間存在的互感現象而干擾正常工作,這就需要採取一定的禁止措施來避免互感帶來的影響。
