基本釋義
互感現象
互感現象是指二相鄰線圈中,一個線圈的電流隨時間變化時導致穿過另一線圈的磁通量發生變化,而在該線圈中出現感應電動勢的現象。
1838年亨利做了關於不同等級感應電流的實驗,這些實驗都屬於互感實驗。以電流感應電流是法拉第觀察到的。引起感應電流的那個電流稱為原電流,感應電流稱為次級電流。由於法拉第的次級電流是瞬時的,所以它也可以在第三個線圈中引起感應電流。
互感電動勢與互感係數
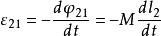
互感現象中的感應電動勢稱為 互感電動勢。當兩個線圈的電流可以相互提供磁通時,就說他們之間存在互感耦合,或簡單說成存在互感。設線圈1、2是存在互感耦合的兩個線圈。令ψ12表示線圈1中電流I1產生的磁場對線圈2提供的磁通匝鏈數。ψ12=N2φ12,式中N為線圈2的匝數,φ為I產生的磁場對線圈2中每一匝提供的磁通。同理,ψ21為線圈2中電流I2產生的磁場對線圈1提供的磁通匝鏈數。ψ=Nφ。理論表明ψ與I成正比,ψ與I成正比,其比例係數稱為兩個線圈間的 互感係數。 簡稱互感。其數學表述為M=ψ/I,M=ψ/I。可以證明M=M=M,所以一般互感係數用M表示。互感係數在數值上等於一個線圈中電流為1安培時對另一線圈所提供的磁通匝鏈數。在沒有鐵心的情況下,互感係數與電流無關,只由兩個線圈的形狀、匝數、相對位置決定。互感電動勢可表示為
互感現象
互感現象由上二式可知,互感係數也可以這樣定義:一個線圈中的互感電動勢與另一線圈中的電流變化率成正比,比例係數就是 互感係數。數學表述為M/(dI1/dt)。M在數值上等於一個線圈中每秒電流變化1安培時在另一線圈中所引起的互感電動勢的大小。互感係數表示兩個線圈間互感耦合的強弱。互感係數與自感係數有相同的單位。M的國際制單位叫亨利,1亨利=1韋伯/安培。兩個線圈間的互感係數一般由實驗測定,只有在簡單情況下才可由定義計算。
套用
互感現象在電工、電子技術中套用很廣。例如變壓器就是套用兩個線圈間存在互感耦合製成的。實驗室中常用的感應圈也是利用互感現象獲得高壓的。有時互感現象也有不利影響,為此實際中總是採取措施消除這種影響。例如可在電子儀器中,把易產生互感耦合的元件採取遠離、調整方位或磁禁止等方法來避免元件間的互感影響。
變壓器是互感現象最典型的套用,它由初級線圈N1、次級線圈N2和鐵芯所組成。它可以起到升高電壓或者降低電壓的作用,還可以把交變信號由一個電路傳遞到另一個電路。但是互感現象也會帶來危害,電子裝置內部往往由於導線或器件之間存在的互感現象而干擾正常工作,這就需要採取一定的禁止措施來避免互感帶來的影響。
互感現象的演示實驗
儀器介紹
圖 1 互感現象演示儀如圖1所示,互感現象演示儀主要由機箱、線圈(1000匝)、收音機和揚聲器等組成,可以用於演示兩個線圈之間的相互感應及感應強度與位置之間的關係和鐵芯線上圈互感中的作用。 線圈1L接收音機,收音機的聲音通過左喇叭發出,線圈2L接至右喇叭。
操作與現象
1.接通電源,打開電源開關(綠色)和收音機開關,適當調節音量,將轉向開關(紅色)打向一側,這時可聽到左喇叭有聲音,這是收音機自身發出的聲音,將轉向開關打到另一側,這時聲音停止;
2.將兩線圈分別接在機箱兩側的輸入插座上,並把兩線圈放在同一直線上,這時可聽到右喇叭有聲音,而且兩線圈移近聲音增大,反之移遠,聲音減小;加入鐵芯,聲音可增大幾倍;將兩線圈垂直放置,聲音減小,至消失,說明這是通過互感線圈感應過來的聲音;
3.可以隨意改變線圈的相對位置和方向觀察兩個線圈的互感情況。
原理解析
互感:如果有兩隻線圈互相靠近,則其中第一隻線圈中電流所產生的磁通有一部分與第二隻線圈相環鏈。當第一線圈中電流發生變化時,則其與第二隻線圈環鏈的磁通也發生變化,在第二隻線圈中產生感應電動勢。這種現象叫做互感現象。 兩個線圈之見的互感係數與其各自的自感係數有一定的聯繫。當兩個線圈中每一個線圈所產生的磁通量對每一匝而言都相等,並且全部穿過另一個線圈的每一匝,這種情形叫無漏磁。將兩個線圈密排並纏在一起就能做到這一點。在這種情形下互感係數與各自的自感係數之間的關係比較簡單。
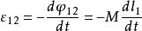
圖2 互感現象如圖2所示,有兩個臨近的迴路(1)和(2),分別載有電流I,I,由I產生的磁場穿過(2)的迴路,磁通量為Φ應和I成正比,Φ=M*I。同理,由I產生的磁場穿過(1)的迴路,磁通量為Φ=M*I。M、M均可稱為互感係數。可以證明M=M=M時,簡稱互感。互感系 數的大小取決於兩個線圈的幾何形狀,大小,相對位置,各自的匝數以及它們周圍介質的磁導率。改變兩線圈的距離、相對位置或方向都將改變兩線圈的互感係數,因此會引起感應電流的大小,從而使得聲音變大或變小。而加入鐵芯將大大增加互感係數,從而使聲音增大幾倍。
圖3 實驗示意圖所以,如圖3所示,當打開收音機開關時,儘管線圈1和線圈2彼此相距數十厘米,並且並不直接用引線相連線,喇叭卻能發出悅耳的音樂樂曲,此時我們只要關閉收音機A的電源則喇叭立即不發音,由此可見喇叭發出聲音正是通過線圈L和L的互感作用將音樂電信號傳遞到喇叭的。如此一來,互感線圈能將一個電信號從一個線圈傳遞到另一個線圈直觀地、形象地演示出來。這就是簡單的無線通信的演示實驗。

