辭彙
自感現象(self-inductionphenomenon)是一種特殊的電磁感應現象,它是由於導體本身電流變化而引起的。
自感,互感現象流過線圈的電流發生變化,導致穿過線圈的磁通量發生變化而產生的自感電動勢,總是阻礙線圈中原來電流的變化,當原來電流在增大時,自感電動勢與原來電流方向相反;當原來電流減小時,自感電動勢與原來電流方向相同。 因此,“自感”簡單地說,由於導體本身的電流發生變化而產生的電磁感應現象,叫做自感現象。如下圖所示,我們將僅由迴路1中電流I1的變化而引起的感應電動勢稱為自感電動勢,用符號εL表示,而把僅由迴路2中電流I2的變化而引起的感應電動勢稱為互感電動勢,用符號ε12表示,這就是說,由於迴路中有電流變化,而在該迴路自身中引起的感應電動勢是自感電動勢,而在兩個鄰近迴路中,由於其中之一有電流的變化,而在另一迴路引起的感應電動勢則為互感電動勢.
釋義
考慮一個閉合迴路,設其中的電流為I,根據畢奧--薩伐爾定律,此電流在空間任意一點的磁感強度都與I成正比,因此,穿過迴路本身所圍面積的磁通量也與I成正比,即 :Φ=LI
自感電動勢式中L為比例係數,叫做自感,實驗表明,自感L與迴路形狀,大小以及周圍介質的磁導率有關,如果I為單位電流,則L=Φ,可見,某迴路的自感,在數值上等於迴路中的電流為一個單位時,穿過此迴路所圍面積的磁通量。當迴路是由N匝線圈構成時,上式為:Ψ=NΦ=LI
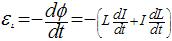
這時,N匝線圈的自感,在數值上等於線圈中的電流為一個單位時,穿過一匝線圈的磁通量乘以線圈匝數.根據電磁感應定律,可知自感電動勢為 自感電動勢
自感電動勢如果迴路的形狀,大小和周圍介質的磁導率都不隨時間變化,則L為一常量,因而
自感電動勢
自感的意義也可理解為:某迴路的自感,在數值上等於迴路上的電流隨時間的變化率為一個單位時,在迴路中所引起的自感電動勢的絕對值.
自感的單位是亨利,其符號是H
套用
鎮流器自感現象在各種電器設備和無線電技術中有廣泛的套用。日光燈的鎮流器就是利用線圈的自感現象。
自感現象也有不利的一面,在自感係數很大而電流有很強的電路(如大型電動機的定子繞組)中,在切斷電路的瞬間,由於電流強度在很短的時間內發生很大的變化,會產生很高的自感電動勢,使開關的閘刀和固定夾片之間的空氣電離而變成導體,形成電弧。這會燒壞開關,甚至危害到人員安全。因此,切斷這段電路時必須採用特製的安全開關。
分析
| 通電自感 | 斷電自感 | |
| 電路圖 | 自感現象 | 自感現象 |
| 器材要求 | 電燈泡1,2同規格,R=R,L較大 | L很大(有鐵芯) |
| 現象 | 在S閉合瞬間,燈2立即亮起來,燈1逐漸變亮,最終一樣亮。 | 在開關S斷開時,燈A漸漸熄滅(r≥R)或閃亮一下再熄滅(r〈R)。 |
| 原因 | 法拉第電磁感應定律 | |
| 能量轉換情況 | 電能轉化為磁場能 | 磁場能轉化為電能 |

自感現象
自感現象 