公式
L1,L2為初級次級電感值,M為互感係數。0≤ k ≤1 ,k = 1,這種情況稱為全耦合。
計算耦合電感電路
串聯
耦合係數如圖分別為順接串聯和反接串聯
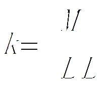
耦合係數
耦合係數(1)互感係數M既小於或等於兩個線圈自感的幾何平均值 ,又小於或等於兩個線圈自感的算術平均值。
(2)順接時的等效電感大於反接時的等效電感,當外加相同正弦電壓時,順接時的電流小於反接時的電流。這一結論可以幫助我們判斷同名端。
(3)由以上公式可知
耦合係數上式給出了一個求兩線圈互感係數M的方法。通過實驗測出L順和L反,然後代入上式中,即可求出M值。
並聯
耦合係數如圖分別為同名端相連和異名端相連
耦合係數同名端並聯時的等效電感大於異名端並聯時的等效電感
去耦等效電路
以沒有互感的等效電路代替原來有互感的電路,這種方法叫互感消去法,也稱去耦等效變換。
串聯
耦合係數如圖分別為順接和反接
並聯
耦合係數圖中電路等效為自感係數為L0、L1/和L2/三個沒有互感的線圈混聯的電路,三個去耦等效參數為:
L1/=L1-M
L2/=L2-M
L0=M

