耦合模方程
描述各耦合模幅度關係的一階常微分方程組
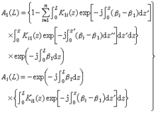
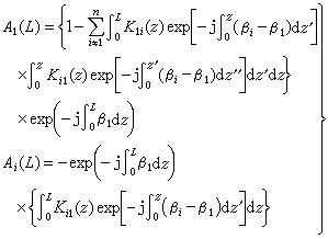
耦合模理論式中Ai為耦合系統中第i個模的幅度;在耦合傳輸線問題中Kij=jβi,在耦合振盪問題中Kij=jωi,βi和ωi分別為模式i的相移常數和振盪頻率;Kij(i厵j)為耦合係數,在傳輸線問題中是空間坐標z的函式,在振盪問題中是時間t的函式,是單位耦合長度或單位時間內由單位幅度的模j所激發的模i的幅度。將方程組 (1)寫成矩陣形式
耦合模理論式中A為列矩陣,k為耦合係數方陣。
耦合模方程的解 根據耦合係數和邊界條件的具體情況得出。耦合能力Qij表示模式i和j之間的耦合強弱。對於非周期性耦合
耦合模理論弱耦合情況
指任何i、j(i厵j)都符合條件
Qij1 (3)
設只有單位幅度的模式1輸入的耦合系統,即有邊界條件
A1(0)=1Ai(0)=0 (i厵1)(4)
則在z=L處的近似解為
耦合模理論可見,即使存在多個模之間的耦合,仍可以分別考慮每一個模與輸入模之間的耦合,從而使問題簡化。
強耦合情況
通常,強耦合只發生在兩個耦合模式(如1和2)之間,忽略其他耦合模,可將式(1)簡化為
耦合模理論設只有模式1輸入耦合系統,且β1=β2=β(即Q12→∞)和K12=K21=-jc都是常數,則式(6)的解為
耦合模理論
圖1圖1給出|A1|和|A2|隨坐標z的變化的曲線,其中實線表示β1=β2情況下的解式(7),說明兩種模式之間可以實現能量的完全轉換;虛線表示常耦合和β1厵β2情況下的解,可見,這時不可能實現能量的完全轉換。
在周期性耦合情況下,耦合能力為
耦合模理論
耦合模理論適當選擇周期λ1,即使在Kii厵Kjj的情況下也可能使(右圖)
實現模式間能量的完全轉換。
耦合模方程的不同形式 為了導出耦合模方程,需要將麥克斯韋方程中的場按正交函式集展開,採用不同的正交函式集能得到不同的耦合模方程。例如,波導中的正交函式集對應於其全部電磁波模式(對於開波導還應包括輻射模)。凡沿波導獨立傳輸而不存在耦合的都稱為簡正模,耦合模則是非簡正模。不均勻波導中的電磁波可以按參考波導中的簡正模集展開,選擇不同的參考波導,對應有不同的簡正模集,得到不同的耦合模方程。
圖2以變截面波導為例(圖2),用虛線表示不同截面位置處的三種參考波導所分別對應的三組簡正模:理想模、本地模和超本地模。與理想模對應的參考波導是均勻波導,其截面形狀和大小與實際波導輸入端處一致;與本地模對應的參考波導是截面形狀和大小與觀察點處實際波導相一致的均勻波導;與超本地模對應的參考波導是形狀與觀察點處實際波導一致、且兩者縱剖面邊界線相切的喇叭形波導。後兩組模式隨觀察點位置而改變,其模式特性主要由“本地”特性決定。
耦合功率理論
耦合模方程式 (1)在系統平均下可轉化為耦合功率方程,由此出發研究長距離導波結構中各種隨機不均勻性對傳輸特性的影響。這一理論可用來解決多模光纖傳輸問題。
電磁輻射
廣義的電磁輻射通常是指電磁波頻譜而言。狹義的電磁輻射是指電器設備所產生的輻射波,通常是指紅外線以下部分。
電磁輻射是傳遞能量的一種方式,輻射種類可分為三種:
游離輻射
有熱效應的非游離輻射
無熱效應的非游離輻射
基地台電磁波 絕非游離輻射波
電磁輻射對人體的傷害
電磁輻射危害人體的機理主要是熱效應、非熱效應和積累效應等。
熱效應:人體內70%以上是水,水分子受到電磁波輻射後相互摩擦,引起機體升溫,從而影響到身體其他器官的正常工作。
非熱效應:人體的器官和組織都存在微弱的電磁場,它們是穩定和有序的,一旦受到外界電磁波的干擾,處於平衡狀態的微弱電磁場即遭到破壞,人體正常循環機能會遭受破壞。
累積效應:熱效應和非熱效應作用於人體後,對人體的傷害尚未來得及自我修復之前再次受到電磁波輻射的話,其傷害程度就會發生累積,久之會成為永久性病態或危及生命。對於長期接觸電磁波輻射的群體,即使功率很小,頻率很低,也會誘發想不到的病變,應引起警惕!
各國科學家經過長期研究證明:長期接受電磁輻射會造成人體免疫力下降、新陳代謝紊亂、記憶力減退、提前衰老、心率失常、視力下降、聽力下降、血壓異常、皮膚產生斑痘、粗糙,甚至導致各類癌症等;男女生殖能力下降、婦女易患月經紊亂、流產、畸胎等症。但是暫時未經實驗證明,也無大規模的數據統計證實存在必然聯繫
具有防電磁波輻射危害的食物有:綠茶、海帶、海藻、裙菜、Va、Vc、Vb1.卵磷脂、豬血、牛奶、甲魚、蟹等動物性優質蛋白等。
降低電磁輻射的方法
降低電磁波的不良影響,就必須養成自我防範的習慣。一般電器行都有販售「電磁波測試筆」,可以輕易測出電磁波的強度,只要超過標準就會發出警訊,使用者就應遠離被測物直至警訊消失為止。
要測知電氣產品是否有輻射或電磁波,也可以採取比較簡便的方式,就是利用家用、小型可接收AM(調幅)頻道的收音機,打開後將頻道調在沒有廣播的地方,並且靠近所要測量的 電視、冰櫃、微波爐或電腦等家電用品,如果發現收音機所傳出的 噪音突然變大,說明該電器周圍有較強的電磁輻射。走出一段距離後,噪聲就會恢復原來較小的噪音量;如此即可測出「安全」距離來。
不同的電器也有不同的防範辦法,像電腦用過最好只關螢幕不關機,電腦螢幕改換成液晶螢幕;接聽手機時,手機最好不要放在腰間或褲子口袋中,而應該用手持或放置於距離人體五十公分處;購買住宅則在遠離變電設備及基地台設定地點。
1993 年瑞典北歐三國研究調查公布,受到2mG 以上電磁輻射影響,罹患白血病的機會是正常人的 2.1 倍,罹患腦腫瘍的機會是正常人的1.5 倍,以上資料摘自日本1996.3 出版SAPIO 雜誌。
(4-1), 專家建議:
| 防止電磁波的10 大對策 | 原 因 說 明 |
| 1,儘量遠離電化製品 | 距離愈遠,電磁波的強度愈小,對人體的危害就越小 |
| 2,無法遠離時要儘量縮短使用時間 | 再強的電磁波,時間愈短,影響愈小 |
| 3,選用電磁波小的製品 | 電燈泡 ,比, 日光燈 ,小, 無線電話 ,比行動電話小 |
| 4,與其選用大型,儘量選用小型 | 同種的家電製品,大型的不但耗電量高,電磁波也強 |
| 5,年輕人要特別注意 | 細胞分裂 ,正值旺盛的年輕人容易受影響,孕婦特別要注意 |
| 6,要曉得測定出的安全距離 | 廠家的電磁波數字不準,要明確的測出才好 |
| 7,注意後方及兩側 | 電視機與個人電腦的後方及兩側所釋出的電磁波極強 |
| 8,插頭不用的時候要拔掉 | 插頭插著的時候,大多數的電磁波即會釋出 |
| 9,睡覺時要特別注意 | 睡覺時間通常很長,即使微量的曝露其影響也會很大 |
| 10,改變非依賴電不可的心態 | 電化製品環繞著的生活,曝露於電磁波的機會乃大增 |
其實並不是任何電磁輻射對人體都有影響,只要強度不大,對人體就沒有多少危害。至於市場上賣的防電磁輻射的產品,大多沒有任何作用,大家不要上當受騙。切記,禁止電磁波的方法只有用金屬網或金屬板,要么就用厚的混凝土或泥土來吸收。如果無法禁止強度較強的電磁波,讓你不受影響唯一方式就是遠離輻射源,因為電磁波的強度和距離的平方成反比,即距離為原來兩倍,強度就降低為原來四分之一。
電磁波的特性
與聲波和水波相似,電磁波具有波的性質。可以發生折射等現象。它的速度,波長,頻率之間滿足關係式:
傳播速度=波長×頻率。
電磁波在空氣中的傳播速度為光速,波長λ=300/頻率F(GHz)mm。從同步衛星到地球的傳播時間大約1/8秒。
波速不變,波長和頻率成反比
電磁波的種類
電磁波為橫波,可用於探測、定位、通信等等。
電磁波譜(波長從長到短)是無線電波,微波,紅外線,可見光,紫外線,倫琴射線(X射線),伽瑪射線.
套用:
無線電波用於通信等
微波用於微波爐、衛星通信等
紅外線用於遙控、熱成像儀、紅外製導飛彈等
可見光是所有生物用來觀察事物的基礎
紫外線用於醫用消毒,驗證假鈔,測量距離,工程上的探傷等
X射線用於CT照相
伽瑪射線用於治療,使原子發生躍遷從而產生新的射線等.
無線電波的套用
無線電廣播與電視都是利用電磁波來進行的。在無線電廣播中,人們先將聲音信號轉變為電信號,然後將這些信號由高頻振盪的電磁波帶著向周圍空間傳播。而在另一地點,人們利用接收機接收到這些電磁波後,又將其中的電信號還原成聲音信號,這就是無線廣播的大致過程。而在電視中,除了要像無線廣播中那樣處理聲音信號外,還要將圖像的光信號轉變為電信號,然後也將這兩種信號一起由高頻振盪的電磁波帶著向周圍空間傳播,而電視接收機接收到這些電磁波後又將其中的電信號還原成聲音信號和光信號,從而顯示出電視的畫面和喇叭里的聲音。
電磁波的電場(或磁場)隨時間變化,具有周期性。在一個振盪周期中傳播的距離叫波長。振盪周期的倒數,即每秒鐘振動(變化)的次數稱頻率。
很顯然,波長與頻率的乘積就是每秒鐘傳播的距離,即波速。令波長為λ,頻率為f,速度為V,得: λ=V/f波長入的單位是米(m),速度的單位是米/秒(m/sec),頻率的單位為赫茲(Hertz,Hz)。 整個電磁頻譜,包含從電波到宇宙射線的各種波、光、和射線的集合。不同頻率段落分別命名為無線電波(3KHz—3000GHz)、紅外線、可見光、紫外線、X射線、γ射線(伽馬射線)和宇宙射線。 在19世紀末,義大利人馬可尼和俄國人波波夫同在1895年進行了無線電通信試驗。在此後的100年間,從3KHz直到3000GHz頻譜被認識、開發和 逐步利用。根據不同的持播特性,不同的使用業務,對整個無線電頻譜進行劃分,共分9段:甚低頻(VLF)、低頻(LF)、中頻(MF),高頻(HF)、甚 高頻(VHF)\特高頻(uHF)\超高頻(sHF)\極高頻(EHF)和至高頻,對應的波段從甚(超)長波、長波、中波、短波、米波、分米波、厘米波、 毫米波和絲米波(後4種統稱為微波)。見下表。無線電頻譜和波段劃分
段號 頻段名稱 頻段範圍(含上限不含下限) 波段名稱 波長範圍(含上限不含下限)
1 甚低頻(VLF) 3~30千赫(KHz) 甚長波 100~10km
2 低頻(LF) 30~300千赫(KHz) 長波 10~1km
3 中頻(MF) 300~3000千赫(KHz) 中波 1000~100m
4 高頻(HF) 3~30兆赫(MHz) 短波 100~10m
5 甚高頻(VHF) 30~300兆赫(MHz) 米波 10~1m
6 特高頻(UHF) 300~3000兆赫(MHz) 分米波 微波 100~10cm
7 超高頻(SHF) 3~30吉赫(GHz) 厘米波 10~1cm
8 極高頻(EHF) 30~300吉赫(GHz) 毫米波 10~1mm
9 至高頻 300~3000吉赫(GHz) 絲米波 1~0.1mm
電磁波治療套用
“特定電磁波譜”(TDP)是由特定的加熱器對治療板產生的波長範圍在2-25μm,強度範圍(28-35mw/cm²)內分布的特定電磁波,當人體匹配接收後與體內細胞所含相同物質產生諧振,因而可增強微循環作用,促進新陳代謝,產生對人體病變的修復,使病患者能迅速康復,非病患者能提高自身的抵抗能力。
例如國仁TDP,在經大量臨床試驗的基礎上,確認特定電磁波譜的照射可套用於治療頸椎病,腰椎間盤突出、腰痛,腰飢勞損,風濕關節炎,坐骨神經痛,面神經麻痹,術後傷口癒合,外傷感染,凍瘡,胃炎、橫隔膜痙攣、神經性皮炎、濕疹,偏頭痛、頭痛、痛經,痔瘡等。被廣泛套用到外科、內科、婦科、兒科、神經科及其它疾病。同時經過國家計量科學院等權威機構的精確測定,證實對人體無任何副作用。
電磁波的傳導
電磁波為橫波。電磁波的磁場、電場及其行進方向三者互相垂直。振幅沿傳播方向的垂直方向作周期性交變,其強度與距離的平方成反比,波本身帶動能量,任何位置之能量功率與振幅的平方成正比。
其速度等於光速c(每秒3×10^8米)。在空間傳播的電磁波,距離最近的電場(磁場)強度方向相同,其量值最大兩點之間的距離,就是電磁波的波長λ,電磁每秒鐘變動的次數便是頻率f。三者之間的關係可通過公式c=λf。
通過不同介質時,會發生折射、反射、繞射、散射及吸收等等。電磁波的傳播有沿地面傳播的地面波,還有從空中傳播的空中波以及天波。波長越長其衰減也越少,電磁波的波長越長也越容易繞過障礙物繼續傳播。電磁波的套用。
電磁波為橫波,可用於探測、定位、通信等等。
電磁波譜
電磁波譜是無線電波,微波,紅外線,可見光,紫外線,倫琴射線(X射線),伽瑪射線.首先,無線電波用於通信等,微波用於微波爐,紅外線用於遙控,熱成像儀,紅外製導飛彈等,可見光是所有生物用來觀察事物的基礎,紫外線用於醫用消毒,驗證假鈔,測量距離,工程上的探傷等,X射線用於CT照相,伽瑪射線用於治療,使原子發生躍遷從而產生新的射線等.
電磁波用途
無線電廣播與電視都是利用電磁波來進行的。在無線電廣播中,人們先將聲音信號轉變為電信號,然後將這些信號由高頻振盪的電磁波帶著向周圍空間傳播。而在另一地點,人們利用接收機接收到這些電磁波後,又將其中的電信號還原成聲音信號,這就是無線廣播的大致過程而在電視中,除了要像無線廣播中那樣處理聲音信號外,還要將圖象的光信號轉變為電信號,然後也將這兩種信號一起由高頻振盪的電磁波帶著向周圍空間傳播,而電視接收機接收到這些電磁波後又將其中的電信號還原成聲音信號和光信號,從而顯示出電視的畫面和喇叭里的聲音。
無線電廣播利用的電磁波的頻率很高,範圍也非常大,而電視所利用的電磁波的頻率則更高,範圍也更大。
此外,電磁波還套用於手機通訊、衛星信號、導航、遙控、定位、家電(微波爐、電磁爐)紅外波、工業、醫療器械等方面。
電磁波的穿透力
因為電磁波具有波粒二象性,波長與光子能量成反比關係,當波長越短光子能量越大,則穿透力越強。如高能X射線幾乎能穿透所有非金屬物,甚至還可以穿透薄鋁。而Y射線則能穿透大多數金屬,只有重金屬(如很厚的鉛板)才能將其擋住。
電磁污染對人體的危害
(1)電磁輻射是心血管疾病、糖尿病、癌突變的主要誘因之一
(2)電磁輻射會對人體生殖系統、神經系統和免疫系統造成直接傷害
(3)電磁輻射是造成孕婦流產、不育、畸胎等病變的誘發因素之一
(4)過量的電磁輻射直接影響兒童身體組織、骨骼發育,導致視力、肝臟造血功能下降,嚴重者可導致視網膜脫落
(5)電磁輻射可使男性性功能下降、女性內分泌紊亂。
電磁波的防護
耦合模理論1.電磁環境標準及相關規定。為控制現代生活中電磁波對環境的污染,保護人們身體健康,1989年12月22日我國衛生部頒布了《環境電磁波衛生標準》( GB9175-88),規定居住區環境電磁波強度限制值:長、中、短波應小於lOV/m,超短波應小於5V/m,微波應小於10μW/cm2。我國有關部門還制訂了《電視塔輻射衛生防護距離標準》,國家環保局也頒布了《電磁輻射環境保護管理辦法》。
針對移動通信發展狀況,北京市環保局於2000年2月17日頒布了全國首例對電磁污染進行規範管理的《北京市移動通訊建設項目環境保護管理規定》(試行),以規範移動通信台(站)的建設和運行,防止其對環境造成電磁污染。該規定中明確了能夠產生電磁輻射的移動通信台(站)在建設前均要履行環保審批手續,並要辦理環保驗收審批,經環保部門的監測,當地功率密度符合國家《電磁輻射防護規定》中的頻率在20 MHz~3000 MHz範圍內、照射導出限值的功率密度在40μW/cm2這一標準,才可正式投人使用,大於這一標準的必須停用或整改;建設蜂窩移動通訊基站前要預測用戶密度分布,採用最佳頻率復用方式,儘量減少基站個數;在居民樓上建設移動通信台(站),事前建築物產權單位或物業管理單位必須徵得所住居民意見;無線尋呼通信、集群通信天線最低允許高度不得低於40m,而蜂窩移動通信基站室外天線一般不得低於25m,發射天線主射方向50m範圍內、非主射方向30m範圍內,一般不得建高於天線的醫院、幼稚園、學校、住宅等建築;建設單位應在上述各類天線安裝地點設定電磁輻射警示牌。
2. 電磁波防護措施。根據電磁波隨距離衰減的特性,為減少電磁波對居民的危害,應使發射電磁功率較大、可能產生強電磁波的工作場所和設施,如電視台、廣播電台、雷達通信台站、微波傳送站等,儘量設在遠離居住區的遠郊區縣或地勢高的地區。必須設定在城市內、鄰近居住區域和居民經常活動場所範圍內的設施,如變電站等,應與居住區間保持一定安全防護距離,保證其邊界符合環境電磁波衛生標準的要求。同時,對電磁波輻射源需選用能禁止、反射或吸收電磁波的銅、鋁、鋼等金屬絲或高分子膜等材料製成的物品進行電磁禁止,將電磁輻射能量限制在規定的空間之內。
3.高壓特別是超高壓輸電線路應遠離住宅、學校、運動場等人群密集區。使用電腦時,應選用低輻射顯示器,並保持人體與顯示屏正面不少於75cm的距離,側面和背面不少於90cm,最好加裝禁止裝置。
4.應嚴格控制移動通信基站的密度,確保設定在市區內的各種移動通信發射基站天線高於周圍建築,在幼稚園、學校校舍、醫院等建築周圍一定範圍內不得建立發射天線。
5.為減輕家庭居室內電磁污染及其有害作用,應經常對居室通風換氣,保持室內空氣暢通。科學使用家用電器:例如,觀看電視或家庭影院、收聽組合音響時,應保持較遠距離,並避免各種電器同時開啟;使用電腦或電子遊戲機持續時間不宜過長等。
6.使用手機電話時,儘量減少通話時間;手機天線頂端要儘可能偏離頭部,儘量把天線拉長;在手機電話上加裝耳機等。
7.另外,可每天服用一定量的維生素C或者多吃些富含維生素C的新鮮蔬菜,如辣椒、柿子椒、香椿、菜花、菠菜等;多食用新鮮水果如柑橘、棗等。飲食中也注意多吃一些富含維生素A、C和蛋白質的食物,如西紅柿、瘦肉、動物肝臟、豆芽等;經常喝綠茶。這些飲食措施,可在一定程度上起到積極預防和減輕電磁輻射對人體造成傷害的作用。
8.電磁波輻射是近三四十年才被人們認識的一種新的環境污染,現在人們對電磁輻射仍處於認識和研究階段。由於它看不見、摸不著、不易察覺,所以容易引起人們的疑慮。另外,有些關於電磁輻射的報導不太客觀、缺乏科學性,導致了不必要的誤解和恐慌。一般地說,判定電磁輻射是否對居住環境造成污染,應從電磁波輻射強度、主輻射方向、與輻射源的距離、持續時間等幾方面綜合考慮。所以,在加強電磁防護同時,對電磁波污染問題也應採取科學的態度,客觀分析、嚴肅對待,切不可人云亦云,不負責的盲目誇大,造成人們認識的混亂。當然,隨著科學技術水平的發展,人們對電磁波污染及其危害的認識會逐漸深人,許多謎底終將被揭開.
