兩線圈反向串聯
反向串聯把兩個線圈的同名端連在一起,接入電路時電流均從異名端流入,從異名端流出,稱這種連線方式為反向串聯,簡稱反接,如右圖一a所示。
根據同名端、電壓、電流的關係標出自感電壓和互感電壓的參考方向如右圖一a所示,則有:
反向串聯用相量式表示為:
反向串聯
反向串聯如果用表示反串時的等效電感,則:
反向串聯(1-1)
等效電路如右圖一b所示。
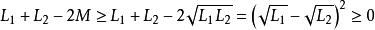
反接時等效電感是否會小於零呢?不會的。
反向串聯由可知:
反向串聯所以
反向串聯由於
反向串聯所以
反向串聯可見,反向串聯時,等效電感不會出現負值。
由上面的式子及推導可知,順接時的等效電感大於反接時的等效電感,且兩者都大於零,根據這個特點,還可以用來判別兩個線圈的同名聯關係,並可測出互感係數M的大小。
順向串聯時的等效電感:
反向串聯反向串聯時的等效電感:
反向串聯將兩式相減得:
反向串聯故互感係數M為:
反向串聯實驗室經常用這種方法測量互感係數。
互感線圈的反向串聯
反向串聯所為反向串聯,就是兩個線圈的同名端相連線,如右圖二所示。
電流從兩個線圈的異名端流入,各電壓的參考方向均按習慣選法,示於圖中。
對於正弦電流來說
反向串聯
反向串聯
反向串聯
反向串聯式中,為線圈反向串聯的等效電感
反向串聯
反向串聯上式中會不會出現負值呢?
由於
反向串聯所以
反向串聯因此
反向串聯即
反向串聯
反向串聯這表明不會出現負值。
反向串聯電動勢
繞組正向串聯也稱首尾相連,即兩個繞組的異名端相連,總電動勢為兩個電動勢相加,電動勢會越串越大。
繞阻反向串聯也稱尾尾相連和首首相連,即兩個繞組的同名端相連,總電動勢為兩個電動勢之差。
利用繞組正、反向串聯時,總電動勢差別很大的特點,可以用來判別兩個繞組的同名端。
