概述
如果三角形的一個角為90度,而另一個角的度數已知,那么第三個角的度數也就固定下來了,這是因為任何一個三角形三個角的度數之和總是180度。這樣,兩個銳角的度數之和為90度:它們互為餘角。這樣的三角形形狀已經完全確定下來,它們是一組度數相同的相似三角形。在度數確定的情況下,每個邊之間的比例也就隨之確定,無論三角形大小。如果其中一個邊的長度又為已知的話,那么其他兩條邊的長度也就確定。這些比例以角A的三角函式形式表示出來,其中a、b、c分別帶指三角形中對應三邊的長度:
圖1.三角比(1)正弦函式(sin),定義為該角的對邊(opposite)與斜邊(hypotenuse)的比例。
三角比(2)餘弦函式(cos),定義為該角的鄰邊(adjacent)與斜邊的比例。
三角比(3)正切函式(tan),定義為該角的對邊與鄰邊的比例。
三角比其中,斜邊是指直角三角形中90度角所對的邊;它是該三角形中最長的邊,也是角A的一個鄰邊。對邊是角A所對的一條邊 。
這些函式的倒數分別被稱為 餘割(csc或cosec)、 正割(sec)和 餘切(cot):
三角比
三角比
三角比它們的反三角函式分別為 arcsine、 arccosine和 arctangent。這些函式之間存在的數學關係被稱為三角恆等式。
通過使用這些函式,可以回答有關任意三角形的所有問題,只需使用正弦定理和餘弦定理。在已知兩條邊長以及它們夾角的度數,或是兩個角的度數以及一條邊長,或是知道三邊長度後,使用這些法則可以計算出其他角和邊。
相關定義及公式
銳角三角比的定義
sinA=角A的對邊/斜邊;
cosA=角A的鄰邊/斜邊;
tanA=角A的對邊/鄰邊;
cotA=角A的鄰邊/對邊。
同角的三角比關係
三角比
三角比互為餘角的三角比關係
三角比
三角比
三角比
三角比直角三角形邊、角關係
三角比邊與邊:
三角比角與角:
邊與角:銳角三角比概念;
所以,歷史上三角函式曾有三角比之稱,三角比不只是三角函式,兩者之間還有一定的差別。
誘導公式
公式一
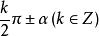
設α為任意角,終邊相同的角的同一三角函式的值相等:
三角比
三角比
三角比
三角比公式二
三角比
三角比
三角比設 為任意角, 的三角函式值與 的三角函式值之間的關係:
三角比
三角比
三角比
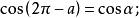
三角比公式三
三角比
三角比任意角 與 的三角函式值之間的關係:
sin(-α)=-sinα
cos(-α)=cosα
tan(-α)=-tanα
cot(-α)=-cotα
公式四
三角比
三角比利用公式二和公式三可以得到 與 的三角函式值之間的關係:
三角比
三角比
三角比
三角比公式五
三角比
三角比利用公式一和公式三可以得到 與 的三角函式值之間的關係:
三角比
三角比
三角比
三角比誘導公式記憶口訣
上面這些誘導公式可以概括為:
三角比對於 的個三角函式值,
三角比
三角比①當 是雙數時,得到 的同名函式值,即函式名不改變;
三角比
三角比②當 是單數時,得到 相應的余函式值,(單變雙不變)
然後在前面加上把α看成銳角時原函式值的符號(符號看象限) 。
其他三角函式知識
兩角和差公式
| 積化和差 | 和差化積 |
三角比 | 三角比 |
三角比 | 三角比 |
三角比 | 三角比 |
三角比 | 三角比 |
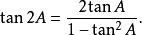
倍角公式
二倍角公式可以利用二角相等時的和角公式求得。
三角比
三角比
三角比利用和角公式也可以推導三倍角公式、四倍角公式等。
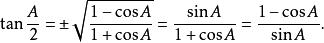
半角公式
半角公式可以利用餘弦函式的二倍角公式求得。
三角比
三角比
三角比積化和差公式
三角比
三角比
三角比
三角比和差化積公式
三角比
三角比
三角比
三角比
三角比
三角比
三角比
三角比
三角比
三角比
三角比
三角比 