簡介
馬爾可夫不等式把機率關聯到數學期望,給出了隨機變數的累積分布函式一個寬泛但仍有用的界。馬爾可夫不等式的一個套用是,不超過1/5的人口會有超過5倍於人均收入的收入。
表達式
X為一非負隨機變數,則P(|x|≥a)≤E(|X|)/a
切比雪夫不等式若用測度領域的術語來表示,馬爾可夫不等式可表示為若(X,Σ,μ)是一個測度空間,ƒ為可測的擴展實數的函式,且ε≥0,則μ({x∈X:|f(x)≥ε|})≤(1/ε)∫[x]|f|dμ
有時上述的不等式會被稱為切比雪夫不等式
推論
切比雪夫不等式使用變異數來作為一隨機變數超過平均值機率的上限,可以用下式表示:Pr(|X-E(X)|≥a)≤Var(X)/a^2
對任意a>0,Var(X)為X的變異數,定義如下:
Var(X)=E[(X-E(X))^2]
若以馬爾可夫不等式為基礎,切比雪夫不等式可視為考慮隨機變數(X-E(X))^2
根據馬爾可夫不等式,可得到以下的結果
Pr((X-E(X))^2≥a^2)≤Var(X)/a^2
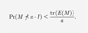
矩陣形式
令M≥0為自共軛矩陣形式的隨機變數,且a>0,則有右圖不等式
矩陣形式的馬爾可夫不等式套用實例
馬爾可夫不等式可用來證明切比雪夫不等式。馬爾可夫不等式可用來證明一個非負的隨機變數,其平均值和中位數滿足的關係。

