電子波的各參數
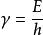
1924年法國物理學家德布羅意(De Broglie)首先提出一個假設:運動的微觀粒子(如電子、中子、離子等)與光的性質之間存在著深刻的類似性,即微觀粒子的運動服從波粒二象性的規律。兩年後通過電子衍射實驗證實了這個假設.得出了著名的德布羅意關係式:
電子波λ=
電子波這裡γ是頻率、λ是波長,它們分別是描寫波的物理量;而E是能量、m是質量、v是速度,它們分別是描寫粒子的物理量,通過普朗克常數h,利用德布羅意關係式,把兩者聯繫起來。所以,這組方程體現了微觀粒子的波-粒二象性。也就是說,具有一定動量和能量的電子,也具有一定的波長和頻率。
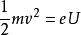
假設:初速度為零的自由電子e,在電場的作用下,從零電位到達電位為U的電場,將獲得一定的能量,根據能量守恆定律為:
電子波由上三式連立,帶入常數換算可得:
電子波λ=
當v接近於光速時.電子波長需經相對論校正。不同加速電壓U下的電子波長λ如下表所示。
不同加速電壓下電子波長電子波在晶體中的衍射與傳播
晶體對電子的散射
我們知道,入射電子束是單一波長的平面波。平面波的波平面是與其傳播方向垂直的一個平面,如下圖所示,如果入射電子波的波矢量為k,則其波函式可以表示為:
電子波式中,r-波陣面O點到P點的徑矢,如下圖所示;
φ-入射波的振幅;
2πik·r-位相角。
電子散射示例當入射電子波傳播到靠近位於坐標原點O的原子時,帶負電的電子將與原子的庫侖電場發生相互作用,引起散射。雖然原子在總體上是電中性的,但由於原子核所帶的正電荷遠比核外電子的負電荷分布的集中,其靜電場的電位分布V(r)總是正的,它與入射電子的平均相互作用總是吸引的。在電子衍射中,通常考慮傳播距離不同所引起位相不同的波的疊加。
消光距離
到目前為止,都是假設在晶體內各處入射波的振幅是相同的,忽略了入射波和衍射波之間的相互作用。如果考慮兩束波的相互作用,則必須引入消光距離的概念。人射電子受原子強烈的散射作用,因而在晶體內透射波和衍射波之問的相互作用實際上是不容忽視的。
我們將在簡單的雙光束條件下,即當晶體的(hkl)晶面處於精確的布拉格位向時,入射波只被激發成為透射波和(hkl)晶面的衍射波的情況下,考慮一下兩個波之間的相互作用。
電子波在晶體內深度方向上的傳播參看上圖,當波矢量為k的入射波到達樣品上表面時,隨即開始受到晶體內原子的相干散射,產生波矢量為k'的衍射波。但是在此上表面附近,由於參與散射的原子或晶胞數量有限,衍射強度很小;隨著電子波在晶體內深度方向上傳播,透射波(與入射波具有相同的波矢量)強度不斷減弱,假若忽略非彈性散射引起的吸收效應,則相應的能量(強度)轉移到衍射波方向,使衍射波的強度不斷增大,如上圖(a)所表示的那樣。不難想像,當電子波在晶體內傳播到一定深度(如A位置)時,由於足夠的原子或晶胞參與了散射,將使透射波的振幅Φ下降為零,全部能量轉移到衍射方向使衍射波振幅Φg升為最大,它們的強度I=Φ 和I=Φ 也相應地發生變化,如上圖(b)、(c)所示。
與此同時,我們必須注意到由於入射波與(hkl)晶面交成精確的布拉格角θ。那么由入射波激發產生的衍射波也與該晶面變成同樣的角度,於是在晶體內逐步增強的衍射波也必將作為新的入射波激發同一晶面的二次衍射,其方向恰好與透射波的傳播方向相同。隨著電子波在晶體內深度方向上的進一步傳播,剛階段的能量轉移過程將以相反的方式在AB階段中被重複,衍射波的強度逐漸下降而透射波的強度相應增大。
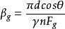
這種強烈的動力學相互作用的結果,使I和I在晶體深度方向上發生周期性的振盪,如上圖(c)所示。振盪的深度周期叫做消光距離,記作β這裡,“消光”指的是儘管滿足衍射條件,但由於動力學相互作用而在晶體內一定深度處衍射波(或透射波)的強度實際為零。理論推導結果表明
電子波式中,d-晶面間距;
t-原子面上單位面積內所含晶胞數;
θ-布拉格角;
F-結構因子;
γ-電子波波長。
電子波套用
軸對稱磁場能使電子束聚焦成像,對電子束起著透鏡的作用。這種磁場由通電流的圓柱形軸對稱線圈產生。透射電子顯微鏡中用磁場來使電子波聚焦成像的裝置是電磁透鏡。為了便於分析電磁透鏡聚焦成像的工作原理,我們以最簡單的電磁透鏡(短線圈磁場的聚焦成像)為例進行分析。根據場的對稱性,將磁場中任意一點A的場強B分解成縱向分量B和徑向分量B,如下圖所示。
通電的短線圈就是一個簡單的電磁透鏡,它能造成一種軸對稱不均勻分布的磁場。假設以速度為v的電子嚴格地沿著主軸方向射入透鏡內,此時在軸線上磁場強度的徑向分量為零,電子不受磁場力的作用,運動方向不變。若電子是平行於主軸入射,根據右手法則,它將受到所處點磁場強度徑向分量B的作用,產生切向力:
電子波使電子獲得切向速度v,如下圖(b)所示。電子隨即開始做圓周運動,由於v垂直於B,產生徑向力:
電子波使電子向軸偏轉。當電子穿過線圈到B點位置時,B的方向改變了180°,F隨之反向,但是F的反向只能使v變小,而不能改變v的方向,因此穿過線圈的電子仍然趨向於向主軸靠近。
電磁透鏡的聚焦原理示意圖由於在短線圈磁場中,一部分磁力線線上圈外對電子束的聚焦成像不起作用,磁感應強度比較低。如果把短線圈裝在由軟磁材料(低碳鋼或純鐵)製成的具有內環形間隙的殼子裡,軟磁殼的內孔和環形間隙尺寸越小,間隙附近區域磁場強度越高,對電子的折射能力越強,可使短線圈激磁產生的磁力線都集中在鐵殼的中心區域,提高相應區域磁場強度,其等磁位面形狀(如下圖8-2所示)與光學玻璃透鏡的界面相似,可起透鏡的作用。為了進一步縮小磁場的軸向寬度,在鐵殼狹縫兩邊加上一對頂端呈圓錐狀的極靴(見下圖8-3(a))。極靴用高導磁率的純鐵、坡莫合金等製成,它可使有效磁場儘可能集中在沿磁透鏡軸向幾毫米的範圍之內。下圖8-3(b)給出了短線圈、有極靴和無極靴三種透鏡軸向磁場強度分布的曲線。
電磁透鏡示意圖
