計算公式
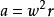
離心加速度
離心加速度----代表速度,單位米每秒
離心加速度----代表離心運動半徑,單位米
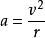
離心加速度
離心加速度----代表加速度,單位為弧度每秒
離心加速度----代表離心運動半徑,單位米
離心力
離心力(Centrifugal force)是一種慣性的表現,實際是不存在的。高中物理課本提到:為使物體做圓周運動,物體需要受到一個指向圓心的力。即,若以此物體為原點建立坐標,看起來就好像有一股與向心力大小相同方向相反的力作用似的,使物體向遠離圓周運動圓心的方向運動。
假設若離心力存在,則與向心力相平衡,物體受力平衡,速度方向不會改變,是平衡態,不可能做圓周運動。因此,這就證明了離心力並不存在,即離心力是以力的作用效果來虛擬出來的一個力,便於大家的感性認識和理解。
離心力的公式為 :
離心加速度
離心力
離心加速度---代表質量,單位千克
a----代表離心加速度
套用
衛星
衛星在天體上,衛星在主星邊緣做慣性運動,由於主星的引力束縛了衛星,使衛星做圓周公轉,如果衛星的慣性運動力(速度)大於主星的引力束縛力,那衛星便遠離中心一些。
在地球上,物體在不動的中心邊緣做慣性運動,由於物體的結合力束縛物體,使物體做圓周旋轉,如果物體的慣性運動力(速度)大於物體的結合力,那慣性運動的物體便遠離中心而去。(由於水和氣體的結合力很低,它們都會離中心而去。結合力高的金屬則不會離心而去)——如果“由於水的結合力低,他們會離中心而去”。那么水應該是往天上撒而不是往海拔低的海里留了。
離心力,由於做圓周運動的物體運動的方向或速度發生改變而產生的。是慣性力!我們知道一個物體搭一物體前進,這時兩物體速度相同,被搭乘物體由於被搭乘,慣性向前移動。物體突然改變方向,被搭乘物體還會慣性前進,由於運動方向的改變導致合外力改變從而產生離心力。
流星錘
流星錘,是一種將金屬錘頭繫於長繩一端或兩端製成的軟兵器,亦屬索系暗器類。僅系一錘者,繩長約五米,稱"單流星";系兩個錘者,繩長為四尺半,稱"雙流星"。其錘有瓜形、多棱形、渾圓形等,大小如鴨卵。錘身末端有象鼻眼,用於串連環。現代武術運動中演練雙流星,主要握持繩索中段,進行立舞花、提撩花、單手花、胸背花、纏腰繞脖、拋接等花法練習,其花法同棍花和大刀花。
茶葉悖論
茶葉悖論描述的現象是茶葉在茶杯中的茶當被攪動後,茶葉回遊到杯底的中央,而非預想的在螺線型離心力作用下被推動到杯底的邊緣。最初的解釋來自於阿爾伯特·愛因斯坦1926年一篇用於解釋河岸侵蝕問題(拜爾定律)的論文。攪動液體使其在杯中旋轉,產生向外的離心力。
然而,靠近底部外側的液體由於於杯壁的摩擦減慢旋轉,那裡的離心力減弱從而使得壓差對水流的作用大於離心力。這就是被稱為邊界層或更確切為埃克曼層
由於離心力,沿邊緣的作用力大於中間。如果全部的液體作為一個固體旋轉,內部的向心力與外部(向心力)與轉速關聯,所以就沒有向內或向外的運動。
在一個茶杯中,旋轉在底部較慢,壓力坡度產生並隨之產生沿底度的向內的波流。向上一些,液體流向外側。這個第二波流沿底部向內流從而把邊緣外部的茶葉聚集到中央。由於茶葉的重量無法上升,所以它們停留在底部中心。結合第一旋轉波流的作用,這些茶葉將沿底部向內螺旋 。

