定義
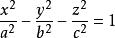
雙曲線繞其對稱軸旋轉而生成的曲面即為雙曲面。在數學裡, 雙曲面是一種二次曲面。採用直角坐標。
基本元素
主軸
實長軸2a
實短軸2b
虛軸2c
中心O(0,0,0)
主平面及其方程:
Oxy平面 z=0
Oyz平面 x=0
Ozx平面 y=0
圖像
單葉雙曲面
單葉雙曲面
雙曲面雙葉雙曲面
雙葉雙曲面
雙曲面聯繫:雙曲線的 實軸包含了雙曲線的兩個焦點,而 虛軸則是兩個焦點的中分線。繞著實軸,旋轉此雙曲線,可以得到 旋轉雙葉雙曲面。繞著虛軸,旋轉此雙曲線,可以得到 旋轉單葉雙曲面。
特徵
平行於z軸的平面與雙曲面的交線都是雙曲線(對於單葉雙曲面,可能是一對相交的直線)。
平行於Oxy平面的平面與雙曲面的交線都是橢圓。
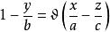
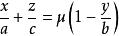
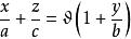
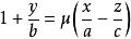
單葉雙曲面上有兩族母直線,它們的方程是
雙曲面
雙曲面( ν為參數)
與
雙曲面
雙曲面( μ為參數)
套用
實軸和虛軸的位置
冷卻塔
發電站在現實中,許多發電廠的冷卻塔結構是 單葉雙曲面形狀。由於單葉雙曲面是一種雙重直紋曲面(ruled surface) ,它可以用直的鋼樑建造。這樣,會減少風的阻力.同時,也可以用最少的材料來維持結構的完整。

